我是靠谱客的博主 知性草丛,这篇文章主要介绍一阶电路误差分析_自动控制(3)时域分析,现在分享给大家,希望可以做个参考。

90bc8c378bcfd216d4ff85bd9d9f8ebc.png

继上一篇分析了控制系统的数学模型,那么拿到了数学模型,通常怎样进行分析?本文以及后续两章将分别讲述经典控制理论中的三种分析、 研究和设计控制系统的方法。

这篇文章本质上都是时域分析的内容,知道什么是时域分析,怎样时域分析,分析的内容有哪些

一:什么是时域分析法?

直接解出时间响应曲线:时域分析法是根据系统的微分方程, 以拉普拉斯变换作为数学工具, 直接解出控制系统的时间响应。 然后, 依据响应的表达式以及其时间响应曲线来分析系统的控制性能, 诸如稳定性、 快速性、平稳性、 准确性等, 并找出系统结构、 参数与这些性能之间的关系。

1.什么是典型初始状态:

规定控制系统的初始状态均为零状态,即在t=0-时

2e60d1671cfa344161cf0bbaeebc9c65.png

说明在外作用添加进系统前,系统是相对静止的,被控量以及各阶导数增量为0.

2.什么是典型外作用:

典型外作用是众多而复杂的实际外作用的一种近似和抽象。 它的选择不仅应使数学运算简单, 而且还应便于用实验来验证。比如单位阶跃、单位斜坡、单位脉冲、正弦。

3.什么是时间响应:

初始状态为的系统, 在典型外作用下的输出, 称为典型时间响应。 从数学角度来理解, 典型时间响应就是描述控制系统的微分方程在典型外作用下的零初始条件解。

4.有哪些性能指标:

控制系统的时间响应, 从时间顺序上, 可以划分为过渡过程和稳态过程。通常对阶跃响应的研究比较多,一般认为, 跟踪和复现阶跃作用对系统来说是较为严格的工作条件,跟踪阶跃信号能够体现出系统工作的性能优劣。

c7e03783c79e9f8ea7ef769d319efaec.png

包括延迟时间、上升时间、峰值时间、超调量、调节时间、稳态误差,后三项反映了系统的平稳性、快速性、稳态精度。具体公式可参考书中内容。

二:怎样进行时域分析

这里对常见的低阶系统单位阶跃响应进行了分析,能够看到具体的分析流程与方法。

1.一阶系统:

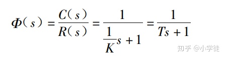
假设一个一般性的一阶系统传递函数模型为:

36076190f02888fa5cd3bcbba68fe0bf.png

一阶系统中只有一个参数T(时间常数)也称为惯性环节,所以我们研究改变T会如何影响系统的输出c(t)。

827ac9764d44ab3678aa09dbbdba3802.png
解出时间响应

所以得到了输出与参数T的关系,那么我们就可以分析出不同T对输出的影响,利用实验绘图得到阶跃响应曲线。实验结论就是:一阶系统的阶跃响应没有超调量, 所以其性能指标主要是调节时间ts。

8321ee27ba57aa78678e1bdea6063a1f.png

由于t=3T时,输出响应可达稳态值的95% ,t=4T时, 输出响应可达稳态值的 98%。而且是没有稳态误差的。

2.二阶系统:

二阶系统很具有代表性,研究对二阶系统的分析方法十分重要。实际系统中有许多都是二阶系统, 例如RLC网络,具有质量的物体的运动,忽略电枢电感后的电动机。 尤其值得注意的是,许多高阶系统,在一定的条件下,常常作为二阶系统来研究(降阶)。所以,详细讨论和分析二阶系统的特性, 有着十分重要的实际意义。

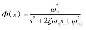
5e6dfa92c50677eeec418d6e1233f4fd.png
二阶系统的模型

根据实际系统所求的传递函数模型满足3-17这个形式,可以看到主要有两个参数在起作用。我们要根据微分方程直接求解出时间响应的解,以阶跃响应为例。讲述之前这里插一条

# 特征根和系统的性能有什么关系?为什么要分析特征方程?

系统极点就是特征方程的根。而微分方程的时域解其实就是由特征根构成的形式。

1。从传递函数是怎么得到时域解的? =>直接进行拉氏反变换

2。那么为什么要先得到传递函数再求解?=>先到频域后到时域

实际上是因为我们做了两步变换:先将微分方程转化为频域上的传递函数,推倒出系统输出c(s)的频域表达式,再通过拉氏反变换把频域变换到时域c(t)上,变换完就是系统微分方程在时域上的输出解。

本质上就是先转换到在频域解方程,再换到时域得到解。这其实就是上述解微分方程的一种具体解法。

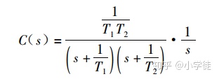
所以下面我们来看看微分方程是怎么解的:根据微分方程计算出传递函数这一步就是在做拉氏变换,具体过程就是数学问题了。这是二阶的传递函数,注意它的分母(特征方程)

27fa5f8f4d0a105c077369ec137f210f.png

我们要的是输出的表达式,所以就写出C(s)的表达式

b6dc46e0a450e8a604257a1e2852dde0.png

然后这就是输出了,目的是什么?得到输出的时域解,那就对他再进行拉氏反变换。怎么反变换?这里就和特征方程有关了。要做拉氏反变换,我们就要根据反变换的公式,换成基本形式相加,这就需要对这个式子进行裂项。裂项需要进行因式分解,那这个过程是不是就要求出特征方程的根了?问题解决。

e5998881e68de09cbdd267bcab518d10.png
换成基本形式相加

6ae880b8bda9c54f3c6b793b638572cc.png
二阶系统的输出表达式

那么二阶系统的特征方程:

be3b1881a6329e4b4b1dec8fb88f82b7.png

fb7e9677b00203db9a2466619fd5ffb8.png
得到二阶系统的解的一般形式

所以,特征根会影响系统的阶跃时间响应函数,因为它存在于指数项里。特征根中有两个关键参数ξ和ωn ,所以这两个参数会影响特征根的形式,所以这两个参数最终将影响系统性能。

具体是怎么影响的?

  • 当阻尼比ξ>1时, 二阶系统的闭环特征方程有两个不相等的负实根,为过阻尼二阶系统。过阻尼二阶系统可以看成两个时间常数不同的惯性环节串联,因此是没有稳态误差的。
  • 当阻尼比0<ξ<1时, 称为欠阻尼二阶系统,闭环特征方程具有一对实部为负的共轭复特征根, 时间响应呈衰减振荡特性, 故又称为振荡环节,参考性能指标部分的图3-3。

具体表达式不再列写了,可参考书上内容。这里我们知道这两个参数与性能之间有着怎样的关系就可以了。

如何改善一、二阶系统响应措施?

一阶系统实际上只有一个结构参数T,比如想提高快速性就减小T。而二阶系统复杂一些,主要是阻尼比,想改变阻尼比一般是输出的速度反馈或者是串联一个比例微分。关于微分要重点说一下,为什么微分能够提高系统阻尼比呢?它能够在实际超调量出现之前就能产生修正作用。

比例微分控制使系统的等效阻尼增大,和速度反馈控制是同样的效果,但是这又属于两种不同的校正方法,一个是串联校正,后者则是反馈校正,校正后的传递函数也不同,串联校正结构简单,但是没有反馈控制抗干扰能力差,速度反馈本手就可以抑制干扰与非线性因素,但是会降低开环增益,而且需要引入测量装置增大了成本。但反馈的存在大大削弱了非线性因素,并且主要性能是由反馈回路的传函决定,能抑制输入干扰,得到广泛应用。

再从根轨迹角度分析,串联一个比例微分环节相当于给开环传函加了一个零点,也使得闭环系统多了一个零点,这样直接改变了系统的根轨迹,影响性能较多。而速度反馈并没有给闭环系统引入新的零点。

三:时域分析的内容?

括延迟时间、上升时间、峰值时间、超调量、调节时间、稳态误差,后三项反映了系统的平稳性、快速性、稳态精度。这里重点讲一下

1.稳定性:

关于稳定性之前有专门写过一篇总结,但并不深入。

小学徒:动态系统的稳定性分析​zhuanlan.zhihu.com
c7ed01a886a06b46f50687b4ebb25f17.png

这本书里详细讲的是经典控制理论中的稳定性方法,在传递函数基础上详细讨论了特征根与稳定性之间的关系。其原理仍然是解出时域解进行分析,得到的结论是:系统的稳定性仅取决于特征根的性质。 并可得出,稳定的充分必要条件为系统特征方程的所有根都具有负实部,或者说都位于s平面的虚轴之左。

e6c2b4e21aa535872e000b3a88dee322.png

根据上面所说的,我们只要通过解系统的特征根就能知道稳定性,那么如果是高阶系统并且难以解出特征根怎么办?如果能够不解特征方程也能知道根是否位于左半平面,就可以更方便了。这才有了从特征根的性质衍生出来的一些稳定性判据,包括Hurwitz、劳斯判据等。

Hurwitz:系统稳定的充要条件为特征方程的赫尔维茨行列式全部为正。但是计算行列式仍然比较麻烦。

林纳德奇帕特判据:这是对hurwitz的推广,减少行列式计算的工作量。1)特征方程的各项系数都大于零 这是系统稳定的必要条件,如果不满足 肯定不稳定。但是满足了不一定稳定。 2)奇数阶或偶数阶的赫尔维茨行列式大于0,只有同时满足这两个条件才能判定稳定。

#这种方法不仅可以判别系统的稳定性,还可以决定增益K的范围,这就是为什么我增益过大可能导致系统不稳定的原因,因为K会影响系统的特征根(PID中比例环节过大会发散)

劳斯判据:虽然上面的方法简化了计算,但是我还是避免不了算行列式,如果是更复杂的系统特征方程,怎么办?可不可以不算行列式也能知道特征根的特性?可以,劳斯判据只需要你画一张劳斯表。这是一种根据特征方程来判断系统极点的位置的方法,从而避免了求解特征根,简化了计算。劳斯判据不仅可以判断稳定性,还能判定有几个正实部根。

总结:这几个判据可以判断系统的稳定性并且能够确定增益的范围,但是不能判断系统的稳定程度。如果系统的一个负实部根离虚轴很近,那也是满足稳定性判据的,这种情况在实际系统中仍然可能是不稳定的,而我也确实遇到过这种问题。系统极点的确在左半平面,但是离虚轴很近。按道理也是稳定。然而仿真结果却发散了,这是因为完全理想的系统是不存在的。我也查了一些实际情况中可能会影响稳定性因素,最典型的就是:延迟。这个东西非常的可怕,它甚至会直接改变系统根轨迹的走向引向右半平面。所以这也是我们要求有一定的稳定裕度的原因,光稳定不够,还要留出裕度,这样才会有更强的鲁棒性。

那么劳斯判据怎么保证系统有一定的稳定裕度?可以用s1=s+a代替s重新计算,这样解出来的K是符合条件的。但是有的系统你不管怎么调K,它都不稳定。这种称为结构不稳定系统,这种情况我们就需要改变系统的结构来解决了。比如积分环节过多,它会直接给系统带来虚轴上的极点。改变系统结构的一般方法是通过增加特定的环节与校正前传函进行比较,看看有哪些变化,是阻尼大了?还是添加了新的零极点?最常见的改变结构的方法就是反馈。状态反馈能够任意配置极点也是这个道理,根据这种方法得到的一些经验有:引入PD控制,速度反馈等,如果积分环节过多,我们就想办法破坏,比如反馈一个比例环节变成惯性环节,但是破坏了积分环节的同时却带来了其他的影响比如稳态精度下降等,这就是校正问题之间的矛盾,后面介绍。

2. 稳态误差

控制系统中的稳态误差, 是系统控制精度的一种度量。 系统的稳态误差与系统本身的结构、 参数以及外作用的形式密切相关。稳定系统误差的终值称为稳态误差

c4434a497c8b39b76968c87b128fb059.png
稳态误差

至于书上为什么会引出中值定理,是因为用拉普拉斯变换的终值定理计算稳态误差比求解系统的误差响应e(t)要简单得多。中值定理等具体的理论公式就不细讲了可参考书上内容。

这篇文章本质上都是时域分析的内容,要知道什么是时域分析,怎样时域分析,分析的内容有哪些

最后

以上就是知性草丛最近收集整理的关于一阶电路误差分析_自动控制(3)时域分析的全部内容,更多相关一阶电路误差分析_自动控制(3)时域分析内容请搜索靠谱客的其他文章。

本图文内容来源于网友提供,作为学习参考使用,或来自网络收集整理,版权属于原作者所有。
点赞(156)

评论列表共有 0 条评论

立即
投稿
返回
顶部