我是靠谱客的博主 俭朴小刺猬,这篇文章主要介绍一阶系统开环传递函数表达式_第四讲 控制系统的方框图,现在分享给大家,希望可以做个参考。

91dde8f570a5ff52cb572d8882e6da2b.png
金鸡一唱天下白:第三讲 控制系统的复域数学模型(传递函数)​zhuanlan.zhihu.com
15b991ca6f5d6bd4ef05f381aea6a2e7.png
自动化人 - 知乎​www.zhihu.com
346a82a12e57d91192cd37bbbca4ea70.png

在控制工程中,为了便于对系统进行分析和设计,常将各元件在系统中的功能及各部分之间的联系用图形来表示,即方框图和信号流图

由具有一定函数关系的环节组成的,并标明信号流向的系统的方框图,称为系统的结构图。系统的结构图实质上是系统原理图与传递函数两者的综合。可以清楚地表示出系统的结构和各部分信号的流向。

4.1方框图

控制系统的方块图是系统各元件特性、系统结构和信号流向的图解表示法。

方框图也称方块图或结构图,具有形象和直观的特点。系统方框图是系统中各元件功能和信号流向的图解,它清楚地表明了系统中各个环节间的相互关系。构成方框图的基本符号有四种,即信号线、比较点、传递环节的方框和引出点。

e2c81a8f0d25b1cce570dda42472c09f.png

方框图元素

(1)方框(Block Diagram):表示输入到输出单向传输间的函数关系。方框图也称方块图或结构图,具有形象和直观的特点。系统方框图是系统中各元件功能和信号流向的图解,它清楚地表明了系统中各个环节间的相互关系。构成方框图的基本符号有四种,即信号线、比较点、传递环节的方框和引出点。

信号线:带有箭头的直线,箭头表示信号的流向,在直线旁标记信号的时间函数或象函数。

(2)比较点(合成点、综合点)Summing Point

两个或两个以上的输入信号进行加减比较的元件。“+”表示相加,“-”表示相减。“+”号可省略不写。

注意:进行相加减的量,必须具有相同的量刚。

(3)分支点(引出点、测量点)Branch Point

表示信号测量或引出的位置注意:同一位置引出的信号大小和性质完全一样。

4.2系统方框图的绘制

对于一个系统在清楚系统工作原理及信号传递情况下,可按方框图的基本连接形式,把各个环节的方框图连接在一起,构成系统方框图。

(1)考虑负载效应分别列写系统各元部件的微分方程或传递函数,并将它们用方框(块)表示。

(2)根据各元部件的信号流向,用信号线依次将各方块连接起来,便可得到系统的方块图。

系统方块图-也是系统数学模型的一种。

f26996c6ea74a3c983dd3f0ec0468d0e.png

例2-5 图中为一无源RC网络。选取变量如图所示,根据电路定律,写出其微分方程组为

5c269e5fb5ddce268c42e22ac61e8f5d.png

c45d4728472ad245700967f744eaef66.png

几个基本概念及术语

93d5f7ae79cc4a8c4f9e82dc4fb7c58b.png

(1)前向通路传递函数

假设N(s)=0 , 打开反馈后,输出C(s)与R(s)之比。等价于C(s)与误差E(s)之比

9564c49f6eb73671bac19fc46ae9e9fe.png

(2)反馈回路传递函数 假设N(s)=0 主反馈信号B(s)与输出信号C(s)之比。

7ea5bd43851dae9e1ee36fb533c1af01.png

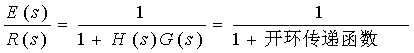
(3)开环传递函数 Open-loop Transfer Function

假设N(s)=0 主反馈信号B(s)与误差信号E(s)之比。

59d485490f59f50a533a5fe8eb6a7406.png

(4)闭环传递函数 Closed-loop Transfer Function 假设N(s)=0

输出信号C(s)与输入信号R(s)之比。

c328cd9e055a81290701e05598a81055.png

推导:因为

c54e350b7b99f0733249c690511c03fb.png

右边移过来整理得

1c000fd37c177e79f8c8a813d80dee0b.png

请记住

fb81c79e99baa3df4f46219b110a7083.png

(5)误差传递函数

假设N(s)=0 误差信号E(s)与输入信号R(s)之比 。

c620e83efeb549155342be7cf5186cd3.png

代入上式,消去G(s)即得:

c9b91cccd356ce4b3f9f8f5c33de619d.png

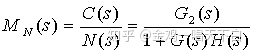
(6)输出对扰动的传递函数 假设R(s)=0

93fd8304ba5cd420b03f570361d0e12f.png

b61ff26dcc0f54edf8b1dd2681caff21.png
输出对扰动的结构图

利用下列公式,

edb7424abafb06dd70eab77c98427e9e.png

直接可得:

fb510fe9f5cf41d35d9386aa2a323348.png

(7)误差对扰动的传递函数 假设R(s)=0

06f9142742c1de522d24e6e11cafb887.png
误差对扰动的结构图

d5c0438f91dfa3768b7402d57ef3c83d.png

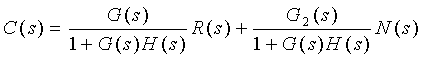
线性系统满足叠加原理,当控制输入R(s)与扰动N(s)同时作用于系统时,系统的输出及误差可表示为:

5d440d51a5bc310f9577aee3220b0637.png

4a8d1199cf02ae0b52542d398112b11f.png

注意:由于N(s)极性的随机性,因而在求E(s)时,不能认为利用N(s)产生的误差可抵消R(s)产生的误差。

4.3环节间的连接

环节的连接有串联、并联和反馈三种基本形式。

1.串联 :在单向的信号传递中,若前一个环节的输出就是后一个环节的输入,并依次串接如图2-32所示,这种联接方式称为串联。

n个环节串联后总的传递函数 :

即环节串联后总的传递函数等于串联的各个环节传递函数的乘积。

90e93ca137600ccec038af94aaef5fa4.png

c93a54b60fece1b09aa9b81113baf1dc.png

2.并联 :若各个环节接受同一输入信号而输出信号又汇合在一点时,称为并联。

5b13b567dca0ef4caffb1e11b9ddb740.png

3.反馈:若将系统或环节的输出信号反馈到输入端,与输入信号相比较,就构成了反馈连接,如图所示。如果反馈信号与给定信号极性相反,则称负反馈连接。反之,则为正反馈连接,若反馈环节H(s)=1称为单位反馈。

2acc7520961528bc97f93581cb85bb2d.png

反馈连接后,信号的传递形成了闭合回路。通常把由信号输入点到信号输出点的通道称为前向通道;把输出信号反馈到输入点的通道称为反馈通道。

对于负反馈连接,给定信号r(t)和反馈信号b(t)之差,称为偏差信号e(t) 即

93a0c010c9f647ada7758e5e1f0e6d6a.png

通常将反馈信号B(s)与误差信号E(s)之比,定义为开环传递函数,即

a4a97b47f725058822676b2574e5153a.png

4.4方框图的变换和简化

有了系统的方框图以后,为了对系统进行进一步的分析研究,需要对方框图作一定的变换,以便求出系统的闭环传递函数。

方框图的变换应按等效原则进行。所谓等效,即对方框图的任一部分进行变换时,变换前、后输入输出总的数学关系式应保持不变。除了前面介绍的串联、并联和反馈连接可以简化为一个等效环节外,还有信号引出点及比较点前后移动的规则。

方块图的绘制

例2-7化简图(a)所示系统方框图,并求系统传递函数

622fee89c93568de90ed67d71388b5af.png

例2-8 试化简如图2-37 (a)所示系统的方框图,并求闭环传递函数。

16e1a6e8fdaa637b7b39f084203554f2.png

8bfc6248032ed688f0769ca7f12e382f.png

图2-37 (a)是一个交错反馈多路系统,采用引出点后移或前移,比较点前移等,逐步变换简化,可求得系统的闭环传递函数为

图2-37 方框图的变换与简化

4bdcb865fb0727aa2ae0f985b6ac7e00.png

6个基本术语

前向通路传递函数、

反馈传递函数、

开环传递函数、

闭环传递函数、

误差(对输入)传递函数、

输出对扰动传递函数

金鸡一唱天下白:第五讲 信号流图​zhuanlan.zhihu.com
15b991ca6f5d6bd4ef05f381aea6a2e7.png
自动化人 - 知乎​www.zhihu.com
346a82a12e57d91192cd37bbbca4ea70.png

注:版权属笔者所有,如需转载请务必联系!

最后说一句:码字不易,若此文对你有启发,收藏前请点个赞、点点喜欢,是对知乎主莫大的支持!!

参考

1.^如有侵犯您的权益,请联系作者删除。

最后

以上就是俭朴小刺猬最近收集整理的关于一阶系统开环传递函数表达式_第四讲 控制系统的方框图的全部内容,更多相关一阶系统开环传递函数表达式_第四讲内容请搜索靠谱客的其他文章。

本图文内容来源于网友提供,作为学习参考使用,或来自网络收集整理,版权属于原作者所有。
点赞(223)

评论列表共有 0 条评论

立即
投稿
返回
顶部