我是靠谱客的博主 冷静月亮,这篇文章主要介绍两种开环传递函数GH(s)与G(s)H(s)的区别,现在分享给大家,希望可以做个参考。

总的来说GH(s)是连续系统的开环传递函数,G(s)H(s)是离散系统的开环传递函数。
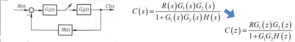
这种写法的区别主要是对于离散系统来说,输入信号与传递函数的相乘其需要卷积,卷积的对象就是两个相互离散的传递函数那么根据L变换的卷积性质可知L[G1*G2]=L[G1]L[G2],而连续系统由于不用卷积, 比如G1(s)与G2(s)间是离散的(结构图上就是有断点或是叫取样点,G1是通过取样器和保持器离散的传递给G2的),单位负反馈H(s)则是和G2保持连续的,此时我们也假定H和G1间是连续的,那么其闭环脉冲传递函数就会是在这里插入图片描述可以看到G1与G2之间是隔开的,因为作为前向通道传递函数来说,他们之间是离散的,但开环传递函数却写成了G1G2H(z)(这里s换成了z是代表进行了z变换),这是因为对于开环通路来说G2->H->G1这个通路是连续的。
回到标题,GH(s)说明开环通路上是可以找到非离散传递的路线的,G(s)H(s)则说明开环路径上H(s)前后都有取样器,开环通路是一个离散系统。

最后

以上就是冷静月亮最近收集整理的关于两种开环传递函数GH(s)与G(s)H(s)的区别的全部内容,更多相关两种开环传递函数GH(s)与G(s)H(s)内容请搜索靠谱客的其他文章。

本图文内容来源于网友提供,作为学习参考使用,或来自网络收集整理,版权属于原作者所有。
点赞(151)

评论列表共有 0 条评论

立即
投稿
返回
顶部