极点不同的情况
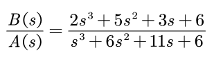
考虑到这个传递函数:

分子和分母的系数矩阵分别为:
>> num = [2 5 3 6];
>> den = [1 6 11 6];
使用以下命令:
>> [r,p,k] = residue(num,den)
即可对分式进行展开,展开后有多项,每一项的分子一定是数字,而分母则为一个多项式
r称为留数p称为极数k称为单独项
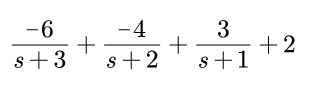
r =
-6.0000
-4.0000
3.0000
p =
-3.0000
-2.0000
-1.0000
k =
2
命令residue还能用来根据分式展开式得到多项式,例如我们有以下传递函数的展开式:

我们使用以下命令将其写成两个多项式之比的形式:
>> clear
>> r = [-6 -4 3];
>> p = [-3 -2 -1];
>> k = 2;
>> [num1,num2] = residue(r,p,k)
num1 =
2 5 3 6
num2 =
1 6 11 6
结果还是不太明显,因为这只是分子和分母的系数,我们新建一个变量s来将其写成分子分母之比的形式,这样就更加的直观:
>> printsys(num1,num2,'s')
num/den =
2 s^3 + 5 s^2 + 3 s + 6
-----------------------
s^3 + 6 s^2 + 11 s + 6
通过对比发现,分子和分母的系数刚好与上面的矩阵匹配。
极数相等
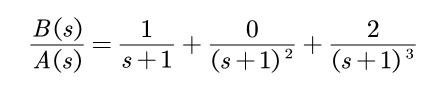
上面的例子都是分母极数不相等的,所以分母都是一次多项式,但如果考虑到另一种情况,分母也称为特征多项式,如果这个特征多项式有重根,那么分母就不会再是一次多项式:

重复上述操作:
>> clear
>> num1 = [0 1 2 3];
>> num2 = [1 3 3 1];
>> [r,p,k] = residue(num1,num2)
r =
1.0000
0.0000
2.0000
p =
-1.0000
-1.0000
-1.0000
k =
[]
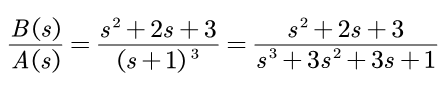
可以看到p的值有三个,而且都相等,说明这三个极数相等,那么分母将不再是一次多项式,而是:

得到原函数:
>> [A,B] = residue(r,p,k)
A =
1 2 3
B =
1.0000 3.0000 3.0000 1.0000
>> printsys(A,B,'s')
num/den =
s^2 + 2 s + 3
---------------------
s^3 + 3 s^2 + 3 s + 1
最后
以上就是平常服饰最近收集整理的关于使用MATLAB的residue()命令求传递函数的展开式极点不同的情况极数相等的全部内容,更多相关使用MATLAB内容请搜索靠谱客的其他文章。
本图文内容来源于网友提供,作为学习参考使用,或来自网络收集整理,版权属于原作者所有。
发表评论 取消回复