混合储能系统能量管理simulink仿真模型。
蓄电池和超级电容构成的混合储能系统能量管理控制策略。
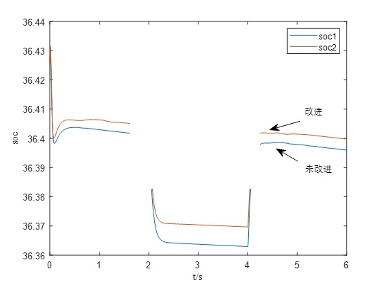
采用lpf分配系统功率,放电过程中超级电容soc限值管理策略,soc高时多放电,小时少放电。
ID:1375670744559657
就喜欢小男




最后
以上就是美丽冰棍最近收集整理的关于混合储能系统能量管理simulink仿真模型。 蓄电池和超级电容构成的混合储能系统能量管理控制策略的全部内容,更多相关混合储能系统能量管理simulink仿真模型。内容请搜索靠谱客的其他文章。
本图文内容来源于网友提供,作为学习参考使用,或来自网络收集整理,版权属于原作者所有。
发表评论 取消回复