作者的话
多年前参加ADI SHARC L2培训的时候,获得的干货,分享给大家。讲算法的很多,讲SHARC DSP算法的就几乎没看到,那你就跟着我往下看,后面的文章都是讲SHARC的算法,我截取一下,结合一点点自己的理解,转述给大家。
硬件准备
ADSP-21489EVB:ADI 21489 DSP的开发板

AD-HP530ICE:ADI DSP通用仿真器

软件准备
Visual DSP++:ADI DSP的软件开发环境
数字信号的时域及频域分析方法
1. 时域
(1)卷积
设系数的单位脉冲响应为 h(n), 输入信号为 x(n), 则其输出信号 y(n)可以通过以下卷积公式来实现:

Matlab 实现函数:y = conv(x, h)
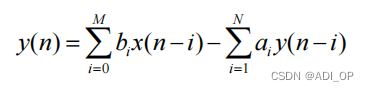
(2)差分方程
系统的输入输出还可以用下面的方程来描述,这种方程在数字信号处理中称为差分方程。

上式中,若 i>=1 时,ai = 0,则此差分方程描述的是一个 FIR 系统,否则为一个IIR 系统。设计一个滤波器其实就是根据所需的指标设计差分方程的系数 bi, ai。
Matlab 实现函数:y = filter(B, A, x), 其中 B=[b0, b1, …, bM], A=[1, a1,…, aN].
(3)滤波器的网络结构
用不同的方法可以将上述的差分方程排列成不同的等效差分方程组,每组都有自己具体的计算过程(或算法)。每一种具体的算法都可以由延时器、乘法器、加法器组成方框图来实现。

例如:

可分别由图 1.4 的直接型结构, 图 1.5 的级联型结构来实现。

2. 频域
(1)数字频率与模拟频率的关系
设采样率为 fs, 某信号的模拟频率为 f(Hz), 则其数字域频率为:

图 1.6 是模拟频率与数字频率变换的示意图。

(2)z 变换
z 变换是对信号和系统进行分析的重要数学工具,许多问题用 z 变换进行分析和求解很方便,概念清楚。
设输入信号为 x(n),则对应的 z 变换是:

若输入信号为 x(n-n0),则对应的 z 变换是:

若系统的单位脉冲响应为 h(n), 则系统函数是:

或根据系统的差分方程也能得到系统函数:

将 H(z)写成下式的形式:

分子多项式的根:零点
分母多项式的根:极点
要使系统稳定,必须保证极点 zk 满足 |zk|< 1。
(3)傅里叶变换
傅里叶变换把信号从时间域转换到实频域,而 z 变换作为傅里叶变换的推广,将信号从时间域转换到复频域。单位圆上的 z 变换即为傅里叶变换。
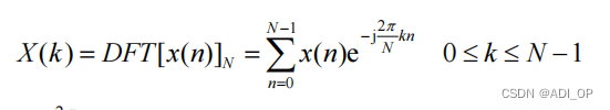
时域离散信号的傅里叶变换公式:

这个公式虽然可以将信号从时域变换到频域,但其结果是连续函数,无法用数字系统进行处理。离散傅里叶变换(DFT)的结果是对上述频谱结果等间隔采样,使得频域函数也被离散化了,使数字信号的处理也可以在频域用数字系统进行处理。

一般令


称为旋转因子。
DFT 使数字系统在频域处理信号成为可能,但是当 N 很大时,直接计算 N 点 DFT的计算量非常大,计算 N 个点的 DFT 所需的计算量为:复数加法 N(N-1),复数乘法N 2,运算量大,与 N 2 成正比。通过 FFT 则可以降低运算量,特别是 N 越大,效果越明显,从而使数字信号处理的速度大大提高。
FFT 的思路:将长序列 DFT 分解为短序列的 DFT;利用旋转因子 的周期性、对称性。
最常用的 FFT 算法是基 2 时间抽取(Decimation in time)DIT-FFT 算法,将时域序列按奇偶逐次分解为两组子序列,利用旋转因子的特性,由子序列的 DFT 来实现整个序列的 DFT。

令:

N为2的整数倍.

分解为 2 个 DFT:


以下为 8 点 DIT-FFT 运算流图:

DIT-FFT 的运算量:

(4)数字域与模拟域小结

最后
以上就是威武茉莉最近收集整理的关于SHARC音频DSP的算法详解(二)数字信号的时域及频域分析方法的全部内容,更多相关SHARC音频DSP内容请搜索靠谱客的其他文章。
发表评论 取消回复