逻辑代数基本公式及定律
一、基本公式
变量和常量的逻辑加

变量和常量的逻辑乘

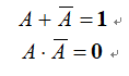
变量和反变量的逻辑加和逻辑乘

复合逻辑运算
二、基本定律
1.交换律

2.结合律

3.分配律

4.重叠律

5.吸收律

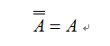
6.非非律

7.反演律(又称摩根定律)

最后
以上就是疯狂钢笔最近收集整理的关于逻辑代数基本公式及定律逻辑代数基本公式及定律的全部内容,更多相关逻辑代数基本公式及定律逻辑代数基本公式及定律内容请搜索靠谱客的其他文章。
本图文内容来源于网友提供,作为学习参考使用,或来自网络收集整理,版权属于原作者所有。
变量和常量的逻辑加

变量和常量的逻辑乘

变量和反变量的逻辑加和逻辑乘

复合逻辑运算

1.交换律

2.结合律

3.分配律

4.重叠律

5.吸收律

6.非非律

7.反演律(又称摩根定律)

以上就是疯狂钢笔最近收集整理的关于逻辑代数基本公式及定律逻辑代数基本公式及定律的全部内容,更多相关逻辑代数基本公式及定律逻辑代数基本公式及定律内容请搜索靠谱客的其他文章。
发表评论 取消回复