
近日,华为遭美国贸易制裁后,任正非的表态受到各大媒体关注。任正非对华为的 5G 技术充满了信心:“华为的 5G 是绝对不会受影响,在 5G 技术方面,别的国家两三年内肯定追不上华为。”
值得注意的是,任正非在接受采访时提到,华为在 5G 的成就,离不开一位土耳其的科学家的贡献:“5G 标准是源于十多年前土耳其的阿勒坎教授的一篇数学论文……”、“十年时间,我们就把土耳其教授数学论文变成技术和标准。”
那么,这位土耳其科学家做了什么工作?这与华为的 5G 技术又有怎样的联系?
5G 基础:极化码
1958 年,埃达尔·阿勒坎(Erdal Arikan)出生在土耳其首都安卡拉,但他的求学生涯多在美国度过。1981 年,阿勒坎在位于加州理工学院获得本科学位,随后他去了美国的另一所名校——麻省理工学院,于 1985 年得到电子信息工程专业的博士学位。值得一提的是,阿勒坎的博士生导师是美国人罗伯特·加拉格(Robert Gallager)教授。而加拉格的导师,也就是阿勒坎的师祖,则是大名鼎鼎的信息论鼻祖香农。
从这个意义上来说,阿勒坎在学术上可谓师出名门。而在博士毕业、回到故乡土耳其的毕尔肯大学后,阿勒坎研究出了开创性的技术。
在毕尔肯大学这所并不算著名的大学,阿勒坎十年磨一剑,终于在 2008 年大功告成,发表了主要用于 5G 通信编码的极化码技术方案。
当年他发表的论文在 2008 年的 IEEE 期刊上,文章一共 23 页,但作者只有他一个人。
这篇文章发表后,就被华为注意到了。
华为有很多科学家,研究能力一流,他们评估了阿勒坎的论文,意识到这篇论文至关重要,因为其中的技术可以用于 5G 编码。
任正非向阿勒坎颁奖,以致敬其为人类通信事业发展所作出的突出贡献。
于是,华为与阿勒坎取得了联系,在这项技术的基础上申请了一批专利,并且以阿勒坎的极化码为基础封锁了一批专利。科技企业的国际竞争,是专利之争,也是利益之争,必须先下手为强。
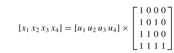
而极化码的数学原理是什么呢?大家可以看下图这篇文章,大概需要有一些通信与编码的基础知识才可以看明白。当然如果具备线性代数或者群论的知识,那么只需要花下时间,肯定可以看懂极化码的原理。
其实,极化码看起来很复杂,但本质上还是一些矩阵的乘法,比如,如果要对 4 个比特的[u1 u2 u3 u4]用极化码编码,那会得到另外一个 4 比特的信号(码字)[x1 x2 x3 x4],这等价于以下的矩阵乘法:
5G 标准:师徒之争
华为在极化码的基础上开发出 5G 通信技术后,迎来了至关重要的 5G 标准投票——若能取胜,就能掌握 5G 通信网络的话语权。
在去年的 5G 标准投票中,华为推崇的极化码,受到了美国高通公司的阻击,高通推崇的是低密度奇偶校验(LDPC)码。
而 LDPC 码的提出者,正是阿勒坎的导师加拉格。
所以,在这场 5G 通信标准之争的背后,是一对师徒的技术之争。当然,表面上是技术之争,背后也有国家利益之争。
以美国的高通为代表的通信业巨头自然倾向于用美国人提出的编码方法,但华为为代表的通信业新秀也希望在这个国际标准的制定中占据先发优势。在 5G 标准的制定中,经过复杂的博弈,最终形成了一个折衷方案:
LDPC 码成为数据信道的编码方案;极化码成为控制信道的编码方案。
所以,这是一种现实的结果,华为虽然没有完胜,但也没有完败。高通也一样,最后的结果就是大家一起发展 5G,谁也别把谁踢走。
从技术层面来说,LDPC 在 1963 就发明了,但受限于当时的硬件条件,同时因为缺乏可行的译码算法,所以此后 30 多年间基本被人们忽视。但随着技术的进步,尤其是 1993 年贝鲁等人发现了 Turbo 码并用于 3G 与 4G 通信后,受 Turbo 码启发,人们对 LDPC 码进行了改进。结果发现,LDPC 码的性能比 Turbo 码更好。
所以,LDPC 码被认为一种比较成熟的老牌编码方案,效果确实是不错的。但极化码的优势是计算量小,用小规模的芯片就可以实现,比较适应于 5G 的小基站,而且采用这种编码方法的硬件商业化后设备成本低,因此也极具竞争力。
控制信道
上文提到,华为主推的极化码主要用于 5G 的控制信道编码,这是什么意思呢?
控制信道是用来传输指令和同步数据的,这就好像我们打开电脑时,电脑需要读取硬盘上的信息,这就需要给硬盘通电,这个通电过程就是由控制信号来传递的。
所以,简单地说,华为的 5G 极化码方案争取到了“给电脑硬盘通电的管制权”,而不是“传输硬盘上的电影数据的权力”。
从数据量来说,控制信道的数据量要小很多,码块长度一般在 20-300 比特之间——这就好像你不是要传输高清的电影数据,只是要把电脑打开,不需要那么多数据量来完成开机这个事情。而 5G 数据信道的码块长度要长得多,典型的数据量在 3000~8000 比特之间,而且码块非常多,其所传输的数据量比控制信道要高几个数量级。
所以,从数据量大小来说,LDPC 码取得的胜利更大一些,但这也不表示极化码失败了。毕竟,极化码是一个新秀,还没有在实践上经过千锤百炼,所以只能等 5G 大规模商用以后,我们再来评估极化码的优越性到底是不是真的好。
对于极化码来说,长度为N的数据块,其编码的复杂度是O(N log N)。而根据祖师爷香农的判据,这已经到达了 5G 编码的最优极限。
所以,华为看好极化码的未来,因为它极富理论优势。而且华为已经在 5G 产业化上走得很远了。因此,我们不难理解华为的底气:因为掌握了技术,即使遭遇贸易战,华为也有胜利的信心。
转载于:https://blog.51cto.com/14163835/2406597
最后
以上就是炙热花瓣最近收集整理的关于华为5G技术来源的全部内容,更多相关华为5G技术来源内容请搜索靠谱客的其他文章。
发表评论 取消回复