我是靠谱客的博主 时尚羊,这篇文章主要介绍信息论与信道编码之BPSK误码率公式推导,现在分享给大家,希望可以做个参考。

前言: 在我的之前一个博客里面终于拿到了第一个不来自自己的赞,在这里感激一下这位观众。我会努力的。

这篇文章是本系列的第二篇,前后章节为:

  1. 信息论与信道编码
  2. 信息论与信道编码之BPSK误码率公式推导,即本文

正态分布

我记得我们第一次学习正态分布好像是在高中的数学课本当中,不过因为概率论在高中占的比值没有很多,所以当初就死记硬背了它的一些特征和原理。不过对于它的实质概念,在当时来看,还是很模糊的。这导致后来一次接触到正态分布,直接一脸懵,那是在大一的模拟通信的课程。当然本来正态分布涉及到的数学问题还是非常复杂的。
在讲什么是正态分布之前,先来解读一下它的名称。正态分布,很多朋友可能很困惑,什么是正态。其实我们学习到的很多理论性的东西都是从西方引进的,当遇到看不懂的名词时,看看它的英文其实会更好理解一些。正态分布的英文叫做Normal Distribution。直接翻译过来叫做正常的分布或者是平常的分布。什么是正常或者常态呢,就是些很普通的事情。一下子正态分布的名称就变得没那么高大上了。一字之差,大可以促进理解了。
然后就是想想什么是常态的分布。在这我们可以佛系一点,没有最好的,也没有最坏的,普普通通是最多的。这样的例子很多,比如男生的身高分布,它就是一个正态分布。通常2米的人很少,一样的1米5一下的人也很少,大部分人都集中在这两者之间,而最多人的身高,通常都是这两个身高的正中间。这么平常的事情,就是服从了正态分布。

说到这个份上,我们现在可以看看正态分布的一个统计表现了:
在这里插入图片描述
【1】正态分布图

接着我们应该要讨论的就是x轴和y轴分别表示什么。x轴用我以上的例子来说,就是身高,而y轴,则表示这个身高中人数的占比。占比也可以理解为概率。就好比如在所有的男生当中随便选一个人,选中1米7的人的概率不就是1米7身高的人的占比么。所以说,这个正态分布,其实就是概率的分布,所以上图也有被称作概率密度函数。而对于这么一个分布,它有一个特性,就是它的总和,等于1。

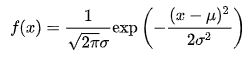
接着我们看看正态的表达公式:
在这里插入图片描述
【2】正态分布公式

看到了这个公式,一定很慌吧。。。慌也正常。。。毕竟有这么多个常数在里面。不过幸运的是这里面只有一个变量。
在这里面当中,主要有两个常量需要去解释,σ和μ:
先说μ,它是数学期望,数学期望又是一个很难理解的词汇,英文直译也叫作期望。不过很多时候我们都很佛系,只要过了平均水平就好了,所以期望又叫做均值。。。
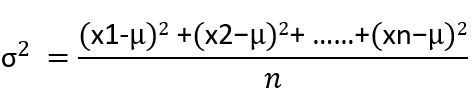
而σ是标准差。提到标准差一定要提到它的前身σ²,它被称为方差。方差的英文叫做variance,百度翻译一下,翻译成了变化幅度或者是差额。这样是不是有点理解了,所以说方差就是一个来描述变化幅度的值,而这个变化幅度是相对于均值而言。我们都知道均值只是一个结果,它是由不同分散在这个均值周围上下的值得来的,如果这些值越集中,那么方差就越小,越离散,方差就越大。
那么这两个参数有分别对概率分布有什么影响呢,可以参考下图:
在这里插入图片描述
【3】正态分布常量影响

从上图可以看出平均值是决定了概率分布在哪一个x轴上的点是轴对称的,这个应该不难理解,因为可以看出两边之和除以2,就等于均值了。至于方差呢,可以看出来方差越小,越陡,方差越小,分布看上去越平躺。这是跟上面说的,如果方差小,那么意味着里均值近的点就越多,离均值的点越多,说明了里均值的点的概率就越大,而蓝色线很好的应验了这一点。而反之,方差大,说明离均值远的点也多了,所以离均值远的点的概率也相对应的变大了,就好比如黄色线。不过要注意,我这里说的都是相对应,而且这些都是有一个大前提,就是必须服从正态分布,如果打破了规则,变成两边高,中间凹下去了,那么这个例子是不成立的。
至于对于这条公式的推导,哈哈,小冯我在这里就不解释了,也还没有研究出来,登研究出来后就会再另外发另一篇博文讲解吧。

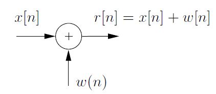
加性高斯白噪声

正态分布是又被称为高斯分布,正态分布就是他推导出来的。高斯分布是一个非常牛的数学家在这就不说了,这里直接介绍什么是加性高斯白噪声呢。
首先就是加性,加性就是加法的意思,意思是我发送信号受到噪声通过简单的加减法的干扰,不好理解的话,图片是这么显现的:
加性高斯白噪声信道
【图片】加性高斯白噪声信道

至于高斯白噪声,其实就是说这个噪声服从高斯分布,而为什么是白呢,跟白光有联系。这个噪声它包含了各种各样的频率,像白光一样由各种各样的光混合而成。而且,它的功率谱密度是一个常数,通常即为N0/2。功率谱密度谱是以x轴为频率,y轴为功率密度为单位。所以

高斯白噪声是生活当红随处可见的一种噪声,也是入门必须理解透彻的噪声。在现实生活中,信号的传播处了会有噪声的干扰,还会有其他很多干扰,例如多径传播。不过我们都有相应的处理方法。因为本文主要是研究信道编码抗噪声干扰的能力,所以在这,只会考虑噪声所带来的影响。而之所以用白噪声,不仅是因为它普遍,还有因为很多时候可以让我们起到举一反三的作用。

σ^2和高斯白噪声功率常数之间的关系

首先先太聊聊功率谱密度,听到了功率谱,肯定会联想到与它对应的能量谱。高斯白噪声是一个功率信号。因为它无时无刻都是不确定的,换句话说就是无规律的,所以它在时域范围为0到0无穷大内它的能量积分是无穷大的,不过因为时间t也趋近与无穷大,根据功率等于能量/时间可以知道,功率并不是无穷大的。什么不是无穷大,那么这个信号就是什么。所以高斯白噪声是功率信号,所以前文提到过,信噪比,是功率之间的比值,因为能量无限大。所以在时域上,功率谱的表达式为:
在这里插入图片描述
对应的,高斯白噪声有它的功率谱密度。如图为功率密度:
在这里插入图片描述
至于为什么功率谱密度是一个常数,之前说过,这本来就是一个对于白噪声的定义,和白光是相互对应的。
相信很多朋友一开始没想到白噪声的方差会和功率谱密度常数有关系,不过它俩还真是有关系,而且是一回事。相信在搜索引擎上查过的朋友都知道他们的关系,不过至于为什么,估计也是会被一大坨理论甩得团团转。秉承人类都能看懂的原则,博主在这决定尝试用简单的数学来解释一下他们为什么相等。有思考不周到以及错误的地方,欢迎下方留言。
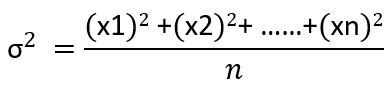
首先我们得知道方差的表达式,根据上文的讨论,应该不难推导出他的轮廓:
在这里插入图片描述
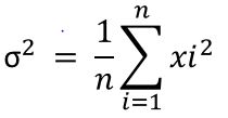
因为μ在这里是0,所以这公式又等于:
在这里插入图片描述
从这条公式入手,x1,x2一直到xn都是在描述单个噪声的幅度。 这条公式可以简写:
在这里插入图片描述
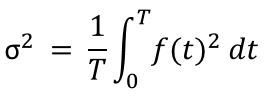
这个是在离散时候的表达式,那么连续状态的表达式又是怎样的呢?
在这里插入图片描述
看到这是不是感觉这个σ平方有点眼熟。。。不论熟不熟请回到上面看一下功率谱的公式吧。所以说,当平均数为0的时候,方差就是等于噪声在时域上的平均功率。
让后我们因为我们用的BPSK调制信号,对于一个比特而言,它所对应的频率只有一个点——载波fc。 所以,我们可以根据频域上的功率谱密度找出x轴等于fc对应的功率得出它的值为N0/2,即σ平方等于N0/2。

BPSK信号和它的BER ver SNR

对于上面不是很了解为什么一个比特对应一个频率的朋友,这里给个说法。计算机只认识0和1,在最初为了防止噪声带来的干扰(这里就不解释了),会采取相位调制的方式来进行无线信号收发改善这种情况。比如比特0,会发送一个-sin(2πfc)的射频信号,而1则发一个sin(2πfc)的射频信号。在接收端,倘若信道没有噪声,会将接收到-sin(2πfc)信号做积分得出-1,因为0更接近-1,然后判定为0,而反之sin(2πfc)为1。这样就可以吧原始信号复原了。不过这还是有缺点,因为这积分还是通过积幅度而成的,倘若在发送sin(2πfc)过程当中有一个能量为负无穷的信号干扰了sin(2πfc), 那么收到的信号就肯定是负无穷了,所以判定出来的结果肯定也是0。
在考虑信道编码之前,我们先要了解如果我们不编码是,噪声对信号的影响到底是多大,这样,才可以让我们去评估,去发现我们的编码的优势到底有多大。

开始进入公式推导

我们知道高斯白噪声是服从弄高斯分布的,而在这个实验中,我们先必须定义一种类型的白噪声作为参照,为了方便计算,本文采取方差等于1和均值为0的做法。
首先对于一串比特而言,我们要知道0和1他们出现的概率到底是多少。答案为他两相等,等于1/2(这个应该能理解吧)。经调制之后,比特被表示为1和-1不过他们出现的概率是不变的,即:
p(symbol=-1) = 1/2;
p(symbol=1) = 1/2;
而且,这个时候,-1和1他们有了他们新的名称,叫做码元,只不过是没有经过信道编码的码元而已。
好了,当码元为1的信号通过了我们定义好的加性白噪声之后,再来判定的时候,会发生两种情况,分别是码元在接收方除被识别为1和-1。而又是什么导致这两种情况呢。
当噪声使得码元小于0是,码元1会被识别为-1;当噪声使得码元大于0时,码元会被识别为1。如图为码元被识别错误的情况:
在这里插入图片描述
当噪音幅度小于-1,都可以使得符号1会被误认为-1;而对于符号-1也是这样,当噪音幅度为1便会使得符号误认为1。而且因为正态分布服从了轴对称关系,又能得出两者是相等的。因此我们可以得出误码关系式:
在这里插入图片描述
因为p(符号1出现概率)等于p(符号-1出现的概率)而且,p(符号1被误认为-1)又等于p(符号-1被误认为1),所以此公式可以被简化成:
在这里插入图片描述
在上述表达式中x按照上述表达应该为1,因为等于符号功率。不过符号为1只是其中一个信噪比,如果我们想要引入信噪比和误码率之间的关系,必须使得这个表达式又一处能直接体现出信噪比的。 既然我们想表达信噪比,那么就从它的公式入手:
在这里插入图片描述
Eb是我们要求的,N0根据前面:σ²等于N0/2,所以是已知的,SNR是我们的变量。这下就好办了,直接求Eb:
在这里插入图片描述
不过还没完,我们之前提到的是噪声的幅度导致了码元1或码元-1被判断错误,可是我们这里求了半天却都是功率。不过幸运的是我们只要讲功率开根号,它的解遍是幅度了。

所以最后误码率的公式等于:
在这里插入图片描述
最后的最后,因为公式太长,前人又引入了一个Qfunction的定义来简化,不过博主在觉得其实大可不必。。。无非就是记了一个公式然后把各种变量引入到公式里去,所以各位会在网上看到这么一个定义表达:
在这里插入图片描述
其实他跟我们刚才最终推到出来的公式是一回事。。。

结言

好了,本文啰嗦了这么多字,其实都是些很基本的东西。不过虽然很基本,博主也是在码这篇文章的时候才想明白了很多东西,之前的懂仅仅是把概念记住而已。希望这篇 流水账般的文章能够让各位读者对于求误码率公式有一个启蒙的作用,这也只是个最基础的,以后还有一大群更难的等这我们呢。 加油!!

Reference

【1】Wendangwang.com. 2020. Normal Distribution And T Distribution_Word文档在线阅读与下载_文档网. [online] Available at: https://www.wendangwang.com/doc/d79a1bc4f43ba2315c9d405a/6 [Accessed 17 June 2020].
【2】Baike.baidu.com. 2020. 正态分布_百度百科. [online] Available at: https://baike.baidu.com/item/正态分布/829892?fr=aladdin [Accessed 17 June 2020].
【3】Zh.wikipedia.org. 2020. 正态分布. [online] Available at: https://zh.wikipedia.org/wiki/正态分布#/media/File:Normal_Distribution_PDF.svg [Accessed 17 June 2020].

最后

以上就是时尚羊最近收集整理的关于信息论与信道编码之BPSK误码率公式推导的全部内容,更多相关信息论与信道编码之BPSK误码率公式推导内容请搜索靠谱客的其他文章。

本图文内容来源于网友提供,作为学习参考使用,或来自网络收集整理,版权属于原作者所有。
点赞(186)

评论列表共有 0 条评论

立即
投稿
返回
顶部