浅谈通信信号调制样式自动识别方法 -古相平
程磊, 葛临东, 彭华,等. 通信信号调制识别现状与发展动态[J]. 微计算机信息, 2005, 021(10S):154-156.
曾创展, 贾鑫, 朱卫纲. 通信信号调制方式识别方法综述[J]. 通信技术, 2015(03):252-257.
1bit =6db
概念
- 通信信号的调制识别是指在未知调制信息内容以及调制参数的前提下,判断出信号所采用的调制方式并估计出某些调制参数,为解调器正确选择解调算法提供参数依据,最终获得有用的信息内容的过程。
- 调制样式识别是介于能量检测和解调之间的过程,能量检测只需要粗略地估计信号的带宽和中心频率,而解调需要精确的频率信息和信号的调制样式。因此,调制样式的识别就需要在先验知识较少的情况下完成识别的过程,并得到更加精确的一些参数值。
系统组成
- 调制样式自动识别系统包括以下几个部分:
信号预处理模块、特征提取模块和调制样式识别模块。
信号预处理模块的主要功能是为后续处理提供合适的数据,其任务一般包括:A/D转换、频率下变频、同相和正交分量分解、载频估计和载频分量的消除等。
特征提取模块是从输入的信号序列中提取对调制识别有用的信息,主要是从数据中提取信号的时域特征或变换域特征。时域特征包括信号的瞬时幅度、瞬时相位或瞬时频率的直方图或其它统计参数。变换域特征包括功率谱、谱相关函数、时频分布及其它统计参数。对于变换域特征,采用FFT方法就能很好的获取,而幅度、相位和频率等时域特征主要由Hi1bert变换法,同相正交(I—Q)分量法和过零检测法等获得。
识别方法
- 调制样式识别的方法主要分为基于特征提取的统计模式识别和基于决策理论的最大似然假设检验,不论是决策论途径还是模式识别途径, 通信信号的自动调制识别实际上都是假设检验和统计推断这两个基本数学方法现。其中后者的两个步骤包括:一、对信号进行特征统计处理, 即构造信号的特征统计量; 二、根据某种准则, 将求得的信号特征量与门限进行比较, 并对其调制种类做出判决。
统计模式识别方法首先要从接收的信号中提取出特征参数,然后通过模式识别系统来确定信号调制类型。①基于统计参数的特征提取方法;②基于谱相关分析的特征提取方法;③基于时频分析的特征提取方法;④基于高阶统计量的特征提取方法;⑤基于信号星座图的特征提取方法。
决策论方法采用概率论和假设检验中的贝叶斯理论解决信号的识别问题,它根据信号的统计持性,通过理论分析与推导,得到检验统计量,然后与一个合适的门限进行比较,进行判定。
基于统计模式的调制识别方法
- 优点: 理论分析简单,预处理简单易实现,高信噪比时信号特征易提取、适用类型多、识别性能较好。在某些条件下,识别性能能够接近理论最优算法。在预处理精度较差、先验知识较少的非合作通信的环境下,基于统计模式的调制识别方法依旧能够有较好的识别性能。
- 缺点:算法的识别体系较繁杂,识别框架没有完备的理论基础,因而并不完善; 算法通常基于特定的信号样本来提取特征及设定判决门限,因而识别效果受噪声影响较大,当信道不理想时,特征比较模糊。此外,通常还需要额外的训练样本且工程实现较困难,因为算法结合了很多现代信号处理方法,而这些处理方法又大多没有能够实现工程应用或工程实现的效率不高。
基于决策论的调制识别算法
- 优点: 其具有完备的理论基础,能够得到识别性能理论曲线,并保证在贝叶斯最小误判代价准则下其分类效果最优,因而可以将其作为理论性能上界,用以检验其他识别方法的性能。此外,由于检测统计量建模中充分考虑了噪声因素,因此在低信噪比下也有较好的性能,并能通过其对信道信息的完备性来改进算法以保证算法在非理想信道下的识别性能。
- 缺点:( 1) 似然函数推导复杂,未知变量较多时既难以处理,计算量还大。因而通常采用非似然比近似算法,但简化处理会丢失分类信息导致分类性能下降;
( 2) 适用性差。由于似然函数的参数均是由特定条件下特定信号推导得到的,因而只适用于特定环境的调制识别问题;
( 3) 需要大量先验知识,在参数估计存在偏差或所建模型与实际信道特性不匹配的情况下,算法性能急剧下降。
硕博论文
[1]陈蕙心. 通信信号调制识别技术研究[D].
创新点:
- 基于高阶累积量和熵值联合特征的调制识别算法
- 提出改进粒子群(PSO)算法,构造出改进PSO-SVM分类器
文章中提到的研究现状
假设检验似然比方法

特征提取的模式识别方法
信号预处理: 下变频处理、载波频率的估计及正交分量分解等
特征参数提取: 基于瞬时信息、高阶累积量和熵值
分类识别: 通常采用的分类器有——决策树、神经网络与支持矢量机三种。

模拟与数字通信分离
- 模拟与数字通信信号的最大区别是码元速率的存在与否,对待识别信号进行码元速率的估计,通过判断信号码元速率是否存在就可以准确地将数字通信信号和模拟通信信号分离开。对信号码元速率的估计可利用信号的功率谱、非线性变换或小波变换来实现。基于小波变换的码元速率估计方法大都适用于非零载频的调制信号,故采用该方法实现对数字通信信号与模拟通信信号的分离。

- 连续小波变换(Continuous Wavelet Transform,CWT)
- 2.5理论未理解
论文中提出的三种调制识别
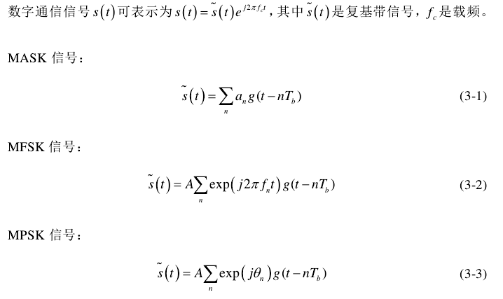
- 基于瞬时特征的调制识别——7(2—>MASK类内分类 5—>其余)

**七种特征参数:**幅度谱峰值、绝对幅度标准差、频率均值、递归频率均值2、递归频率均值3、相位均值、递归相位均值

- 基于高阶累积量和熵值联合特征的调制识别
- 信号的瞬时特征受外部噪声影响较大,故提取对噪声不敏感的高阶累积量作为信号分类的特征,选取合适的熵值特征可以识别高阶累积量特征无法区分的信号。(高斯随机变量对应的高阶累积量为零)
- 高阶矩和高阶累积量的定义and矩和累积量的转换关系 (未理解)
- 由于决策树的判决门限不具备自适应性,即使在低信噪比条件下不同信号的特征参数具有很好的区分性,但此时特征值不满足门限判决条件会出现误判现象,致使算法性能下降。因此,选用具有自适应性的分类器是本文研究提高调制识别算法性能的一个重点。
- 基于支持向量机的调制识别 (改进粒子群算法优化支持向量机参数)
- 常用的分类器除决策树外还有 神经网络 (所需样本数量大,易出现过学习、欠学习、陷入局部最小点)and 支持向量机SVM(处理有限样本时有较好的分类性能和泛化能力,很好地处理非线性及高维模式识别等问题)
本文所研究课题在以下方面还可做进一步改进:
(1)真实的信号接收环境是复杂多变的,如何提取鲁棒性更好的特征参数以提高调制识别算法的鲁棒性是一个待研究的方向。
(2)本文提出的算法仅针对于单一的数字单载波信号调制样式的分类识别,而在现实生活中信号的种类更加复杂多样,如何改进本文算法使之能用于对复杂调制信号的识别是一个待研究的方向。
(3)本文主要研究了 AWGN 信道中数字通信信号调制样式的识别,但在实际应用中信号的传播还受到多径衰落、瑞利衰落及其他噪声的影响,因此还需探索在上述噪声环境中对通信信号调制识别算法的改进。
[2] 周龙梅. 基于深度学习的通信信号识别技术研究[D]. 2018. (短时傅里叶变换、小波 神经网络)
研究意义
- 通信信号识别的两个主要过程,即特征提取与分类识别,大多基于浅层学习算法。
- 特征提取过程中,传统的通信信号识别算法大多通过大量的人工分析提取目标信号在理想模型或环境中的属性特征,对于复杂的环境或复杂的感知任务的适用性不强。众多学者利用已有的一些模型如主成分分析、稀疏编码等对语音信号、图像信号、文本信号等进行抽象特征提取,即**“表征学习”(Representation Learning)。在表征学习用于通信信号的特征学习与提取方面,目前的研究大多数仅限于尝试利用机器学习的一些普式模型**(如PCA、稀疏编码、自动编码器、LLE等),或者借助其他语音及图像领域的经验学习模型对通信信号进行处理。
- 在分类识别过程中,随着机器学习技术的发展,人工判决树算法(根据特征阈值进行决策的判决树)逐渐被机器学习分类器取代,在一定程度上提升了分类器对于复杂通信环境、复杂信号类型分类问题的自适应性,但目前主要利用机器学习中的浅层网络和经典模型,如SVM、K均值、贝叶斯模型等,解决通信中遇到的分类、识别、决策判断等方面的问题。部分学者也开始尝试利用成熟的深度学习网络,如卷积神经网络(CNN),进行通信信号特征提取和信号识别等任务,然而结合通信信号本身和信号传输系统的特点对深度学习网络模型进行重新建模很少有尝试。结合通信信号本质进行深度学习网络研究,构建具有自适应性、自我学习、自主决策能力的通信信号处理机制因此具有重大的意义。
文章所提国内外现状
通信信号识别应用方面,许多学者采用SVM对提取的特征进行分类,如利用通信信号的循环平稳性质构造循环累积量域内的信号分类特征矢量,采用支持矢量机将分类特征矢量映射到高维空间并构建最优分类超平面,实现对多类数字调制信号的自动识别 (上一篇文章用到的) ;或通过小波变换将输入信号映射到一个高维特征空间,再利用支持向量机对数字调制信号进行分类。还有【1】采用 随机森林算法 对雷达信号的时频图像特征进行脉内调制识别;【2】利用 反向传播神经网络 分别对基于 小波变换 提取的特征和基于 领域粗糙集属性快速约简算法 选择的调制特征参数进行信号识别。
- 大多停留在浅层学习层面,即利用机器学习算法完成通信系统任务中的识别、检测、估计等任务,用于识别、检测的特征仍采用专家特征,不仅需要大量的人力且依赖于专业的知识和分析,同时不便于推广。深度学习与传统模式识别方法的最大区别在于它从大数据中自动学习特征,而非采用手工设计的专家特征。
问题综述
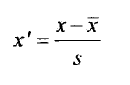
- 三种基本的数据预处理方法:区间缩放、标准化和归一化方法。
区间缩放:将特征的取值区间缩放到某个特定的范围内,将特征缩放到[0,1]范围内。
标准化:将服从正态分布的数据转换成服从标准正态分布数据的过程。利用特征的均值和标准差s。
归一化:针对各个样本的不同特征属性值进行处理。

- 传统通信信号识别过程中使用的特征有:高阶累积量、小波特征等。
常用的时频分析方法:
①短时傅立叶变换:不同于傅立叶变换之处在于前者在分析信号的过程中引入了窗函数的概念。利用窗函数截取小片段信号再分析该片段信号的频谱特性,可以获得该片段信号对应时间附近的局部频谱,当窗函数随时间变换平移,则可以获得信号的二维时频谱(反应信号频谱随时间的变化情况)。短时傅立叶变换的加窗操作可以将非平稳或时变信号分成许多近似平稳的小片段信号,从而可对这些小片段信号进行傅立叶变换分析。将短时傅立叶变换用于非平稳信号的分析时,为了更好地反应信号频谱随时间变化的规律,窗函数的长度需要根据信号的不同进行适当调整,从而获得适当时间或频率分辨率的特征,如:对于变化平缓的低频信号应采用具有较高频率分辨率的窗函数,而对于变化剧烈的信号则应采用具有较高的时间分辨率的窗函数。
②小波变换:利用一系列由母小波函数经时间平移和伸缩变化得到的子小波函数对信号进行时移比较,并利用小波系数表征信号与一系列子小波的相似程度。由于子小波可以通过不同的时间平移和伸缩变化达到任意小的规定精度,也能精确度量有限长的信号,因此可以获得信号局部时间区域内的信息,这是傅立叶分析做不到的。
③Winger-Ville(WV)分布:又称为双线性时频分析,具有良好的时频聚集性,对于线性调频信号具有良好的检测性能。基于WV分布提取的信号特征也可以反应信号频率随时间的变换规律,较好地识别信号是单分量还是多分量。 - 分类器
识别算法的优劣性可以从几个方面进行评估:①识别率,特别是低信噪比条件下的正确识别率;②算法复杂度,包括算法计算复杂度、算法设计复杂度、算法实时性等;③算法的场景适用性,包括对不同的信号传输场景的适用性、对多种信号的准确识别等;④分类器的自动化和智能化水平。
基于人工设定阈值的分析决策树缺乏自动化和智能化设计,场景转换和信噪比等参数变化都会导致分类效果的大大降低。基于机器学习算法设计的分类器被广泛应用于调制识别等任务中常用的分类算法及分类器有:KNN(基于少数服从多数原则,将一个样本的类别选定为特征空间中该样本最邻近的K个样本中大多数样本所属的类别)、SVM(针对线性可分的两类数据,以结构风险最小化为归纳原则构造特征空间中的最优超平面,以最大化特征空间中数据到该超平面的距离。线性不可分的数据则需要通过核函数将低维特征映射到高维特征空间使其线性可分) - 深度学习算法 (四种算法未看 有时间补)
- 浅层学习如支持向量机、最大熵方法、提升方法等对人工分析获取的不具有层次结构的单层样本特征进行学习,而深度学习则通过构建多个非线性操作层获取原始信号经逐层特征变换得到层次化的特征表示,深度学习获得的特征不依赖于人工分析,是自主学习得到的。基于无监督特征学习和特征层次结构的深度学习算法能够很好地解决传统机器学习过程中由依赖于人工设计特征带来的实际操作困难、局限性大的问题,从而大大提高识别系统的性能。
①受限波尔兹曼机(RBM)②Gibbs采样与对比散度算法③卷积受限波尔兹曼机(CRBM)④深度信念网络关键算法
基于短时傅里叶变换机制的特征学习网络(深度学习 先略过)
基于小波变换机制的特征学习网络(同略)
基于深度学习的通信信号识别与检测(未细看)
对2ASK、4ASK、2FSK、GFSK、16QAM、OQPSK六类调制信号进行识别。
利用基于CRBM的STFT特征学习网络和基于RBM的STFT特征学习网络分别构建了完整的数字调制识别网络,考察三种传统算法和两种基于深度神经网络的算法)在不同的信噪比下对六种调制信号的识别精度,验证了本文提出的基于深度神经网络的特征学习网络的优越性,并通过比较网络的训练、测试速度证明了基于RBM的特征学习网络在计算复杂度的优势。最后,针对无线通信信道中的信号检测问题,基于直接型和间接型DWT特征学习网络分别构建了完整的信号检测网络,考察直接型特征学习网络输出特征、不同组成的间接型特征学习网络输出特征和传统小波变换提特征对信号检测识别准确率的影响。
总结
针对传统算法中专家特征提取算法的场景局限性、人工分析成本高等问題,本文创新地将深度学习网络引进通信信号的特征提取中,利用多层非线性网络获得抽象的高层特征表示和属性类别特征等,并利用深层特征实现通信信号的高精度分类与识别。
从注意力机制的提出原理中获得启发,提出基于基本的通信信号时频分析方法构造更适用于通信信号识别场景的深度学习网络,包括引入时傅立叶变换机制和离散小波变换机制构建基于通信信号深度特征学习网络和信号识别网络。对于深度学习网络而言,网络复杂度也是一个重要性能指标,网络越复杂,对硬件的要求越高,网络训练和运算执行的速度也会越慢。为了降低深度学习网络对高性能硬件的要求,加快网络训练速度,本文改进了基于卷积受限玻尔兹曼机实现的基于短时傅立叶变换机制的特征学习网络,通过分析网络模型的计算过程,适当调整网络层顺序和网络结构,利用非卷积网络实现相同的数据计算处理过程,从而大大降低网络复杂度,提升网络训练速度。
缺点:数据集仿真生成/深度学习处理数据为实数信号(通信信号分析和处理一般为复数信号)
许多值得研究的内容,如:利用深度学习网络构建完整的无线通信系统、利用深度学习算法构建多类型通信信号滤波器等。在后续的研宄中,除了需要采集实际数据集进行深度学习网络的训练和测试外,我们将进一步模拟通信信号循环谱特征的提取方法,构建新的通信信号特征学习神经网络,并将其应用于更复杂多样的调制方式识别等问题中。
[3]周江. 基于神经网络的通信信号调制识别研究及实现[D]. CNN LSTM长短时记忆
全文概述
- 基于贝叶斯决策理论的调制识别,实质就是一个多重假设检验的问题。通过精巧的设计假设空间,检验统计量(通常是似然比函数)进行理论推导,寻找合适的判决门限,理论上可以实现在贝叶斯代价最小化准则下的调制模式判决。基于贝叶斯决策理论的调制识别具有完备的理论依据,并保证了在贝叶斯最小代价准则下调制识别效果最佳,因而可以作为理论性能上界检验其他识别算法的性能。然而在实际工程中,由于通信环境非常复杂,并且待识别的信号调制模式众多,导致调制模式正确识别率并不是很高,尤其是在低信噪比条件下,识别性能会急剧下降。并且,基于决策理论的调制识别算法理论推导繁杂,算法通用性差,工程实现代价大,导致识别效率非常低下,不利于信号调制模式实时的自动识别。
- 基于机器学习理论的模式识别方法优势在于,基于统计机器学习的调制识别技术思路简单清晰,算法切实可行,性能优良可观。并且,基于机器学习的调制识别器具有很好的鲁棒性,可以自适应通信环境的变化,导致调制识别器在较低信噪比条件下仍然可以很好的完成通信信号调制识别任务。其最大的缺点就是目前尚没有完善的理论明确指出调制识别器的理论识别限,并且机器学习算法模型繁多,也没有明确的理论指导我们面对具体问题应该提取什么样的特征组合,选择什么样的算法模型,确定什么样的超参集合,而这些都需要进行大量的实验去尝试。
- 本文技术方案:一是基于人工特征工程构建浅层神经网络调制识别器,二是基于深度学习技术构建端到端的调制识别器。
两者的输入:前者需要基于通信信号的领域知识构造精巧的人工特征作为神经网络的输入(通信信号的特征向量);而后者则可以直接将采样得到的通信信号样点作为神经网络的输入。**两者的计算资源需求:**基于人工神经网络的通信信号调制识别器计算资源开销主要有三个方面,一是通信信号的预处理及特征提取,二是神经网络在训练数据集上的训练学习,三是神经网络对于待识别通信信号的推理判断。其中,对于通信信号的预处理是两者都需要,而特征提取工作则只是浅层神经网络调制识别器需要进行的。神经网络在训练数据集上的训练学习则是最大的计算资源开销,其取决于训练数据集的规模和神经网络的规模,那么显然后者相比于前者会花费更多的计算资源。同样,对于未知调制模式信号的推理判断,前者需要提取特征然后输入进神经网络进行计算推理得到调制模式,后者则直接将采样信号输入进神经网络进行计算推理得到调制模式,相比之下,后者还是会消耗更多的计算资源。综合来讲,由于最大的计算资源开销在于神经网络的训练,因此我们可以断定后者相比前者会消耗更大的计算资源代价。
神经网络理论基础
- 人工神经网络是一种模拟人类大脑神经元行为的机器学习算法。只要在人工神经网络中添加足够的神经元,那么它就能拟合任意复杂的函数,这被称为神经网络的普适近似性。假设通信信号与其调制模式之间存在一个我们尚不清楚的映射关系,但是通过神经网络的普适近似性,我们就可以学习到这个隐含的映射关系。
- 人工神经网络相比于其他的机器学习算法非常善于处理非线性高维度的问题,并且善于挖掘出输入输出之间隐含的映射关系,所以利用人工神经网络来构建通信信号的调制识别器是一种新巧的方法。
- 人工神经网络也存在着一些固有缺点。首先人工神经网络神经元之间的连接众多,所以参数集合很大,从而导致训练规模很大。其次人工神经网络要优化的目标函数往往是一个非凸函数,那么在利用梯度下降等算法迭代求解的过程中就很容易陷入局部最优而无法跳出或者遇到鞍点从而无法训练。然后就是由于神经元激活函数的特性,导致存在优化的目标函数比较平坦,导致算法收敛速度比较慢,另外激活函数还容易引起梯度爆炸和梯度消失的问题。最后由于网络规模庞大,待训练的参数众多,导致极易出现过拟合的现象。(改进的解决:基于随机梯度下降算法的 mini_batch BP 算法可以加快训练速度以及减弱梯度爆炸和消失的程度,自适应的 BP 算法可以避免算法陷入局部最优,弹性的 BP 算法也可以加快算法的收敛速度,正则化策略可以减弱过拟合的影响,改进的激活函数和初始化策略等也有有效的解决神经网络训练中出现的一些问题。 )
- 常见激活函数
Sigmoid函数 :几个明显的缺陷——梯度饱和性(对基于反向传播算法的神经网络训练极为不利,易导致网络无法收敛)、全局非负性(值域非负,均值大于0,不符合神经网络数值期望为0的设想)、计算复杂性。
Tanh函数 :为解决均值非 0 问题提出一种激活函数,tanh(x) = 2sigmoid(2x)-1 ,均值为0,但仍梯度饱和且计算复杂。
ReLU函数 :线性整流函数。 优:解决了sigmoid在x正半轴梯度饱和问题,计算复杂度更低。 缺:期望非0、x负半轴梯度为0,无法传播梯度更新权重—"死区“
Leaky_ReLU函数 :性能不够稳定
P_ReLU函数 :参数化修正线性单元函数。增加了网络的自由度,增加网络的过拟合风险。 - 损失函数:基于分类任务的交叉熵损失函数和基于回归任务的平方损失函数。
- 神经网络相关看 :Lan Goodfellow, Yoshuo Bengio. Deep Learning[M]. 北京:人民邮电出版社,2017.
通信信号调制模式及特征抽取
- 2ASK 4ASK BFSK 4FSK BPSK QPSK 16QAM
- 通信信号的特征:通信信号谱特征和高阶累积量特征
通信信号的谱特征是针对信号的瞬时幅度、相位和频率以及信号功率所提取的统计量,常用五个谱特征:最大功率谱/瞬时幅度绝对值标准差/瞬时相位绝对值标准差/瞬时相位标准差/瞬时频率绝对值标准差
余图略。根据特征的不同可区分信号。
信号的累积量特征指信号的各阶矩特性,我们通常会计算信号的二阶、三阶、四阶矩,原因一是信号的高阶矩能排除噪声的影响,高斯噪声的高阶矩为 0;二是对于信号来讲,过于高阶的矩计算会很复杂。
针对离散信号,求各阶矩。针对通信信号,对信号向量做希尔伯特变换,与原始信号组成解析信号,然后取其实部和虚部,构成各阶高阶累积量。
- 我们必须组合全部特征来对我们的调制信号进行分类。人工神经网络正是基于这样一个假设“一个信号的各类特征经过线性组合再经过非线性映射就能得到它的调制模式标签”来对我们的信号进行调制模式识别的。
浅层神经网络通信信号调制识别器的设计与实现
- 输入是通信信号的特征向量,输出是其相应的调制模式类别标签。
- 通过第三章的描述可知,我们在分析中采用的信号特征包括 5 个谱特征和 12 个累积量特征,那么对每个信号就可以由一个 17 维度的特征向量来描述,因此我们设置输入层神经元数目为 17。因为我们需要进行识别的调制信号共七类,因此我们设置输出层神经元数目为 7。
- ReLU激活函数用于隐藏层神经元的激活。Softmax 激活函数作用于输出神经层神经元。损失函数就可以明确的设计为交叉熵损失函数。对数据的真实标签进行独热编码。(对于样本的真实标签,也必须转换为一个相同维度的概率分布向量才能计算交叉熵损失。正好,独热编码能达到这样的目的)
- CPU很擅长处理串行的复杂的逻辑运算任务;而 GPU 则特别适合处理高并行的计算密集型任务,尤其是SIMD 的任务。对于神经网络而言,则是一个典型的 SIMD 任务。但是 GPU 的工作需要在 CPU 的引导下完成,也就是说 CPU 和 GPU 构成一对 master 和 slaver,本章后续的内容就主要介绍在 CPU 和 GPU 平台上协同实现神经网络
https://blog.csdn.net/sean_xyz/article/details/44156215 SIMD任务含义
基于深度学习技术的通信信号调制识别研究 (卷积神经网络和循环神经网络-LSTM)
- 在浅层的神经网络中,我们需要从原始的通信信号采样数据中人工设计和提取特征,用于神经网络的输入。要求特征的设计者具备良好通信与信号领域的专业知识,这也就是所谓的“特征工程”的一个弊端。为了避免这个弊端,我们可以考虑实现一个端到端的通信信号调制识别系统,即将原始通信信号采样数据作为系统输入,直接输出信号的调制模式,而不必考虑如何设计优良的特征描述通信信号。对机器而言,这是一种更高层次的学习,而深度学习技术给我们提供了这样的途径。
总结
- 创新点:神经网络采用 ReLU 这种新型的激活函数和交叉熵这种损失函数;基于深度神经网络模型 CNN 和 RNN 构建端到端的通信信号调制识别器;在 GPU 硬件平台实现了基于神经网络的通信信号调制识别器。
- 未实现: 第一,在现实的无线信道中,传输的各种调制模式的通信信号数量是不平衡的,也就是说关于通信信号调制识别在机器学习领域中就是一个严重的“不平衡类多分类问题”,针对不平衡分类问题,需要有进一步的研究。 第二,关于端到端的通信信号调制识别器,文中采用的 CNN 和 RNN 模型都还比较简单,因此可以进一步研究目前更加复杂的模型在通信信号调制识别这个任务上的性能表现,比如残差网络,双向循环网络,结合卷积特性和时序特性的RCNN等神经网络结构,当然这也意味着需要更大的数据集和计算资源。 第三,目前基于神经网络的通信信号调制识别器都还是在软件层面的实现,未来可以考虑在 FPGA 甚至专用集成电路(Application Specific Integrated Circuit,ASIC)上去实现,这就必须进一步研究数据量化、模型压缩等相关课题。
[4] 孙汝峰. 基于高阶累积量与谱分析的数字调制信号识别[D]. 2016.
- 常用的特征提取方法如基于时域频域瞬时特征以及变换域特征等方法。基于变换域特征的方法主要分为两部分来实现,第一部分将要识别的信号转变到其他特征空间,第二部部分主要分析信号在新特征空间中的特征并提取出特征参数,进而实现对信号的分类。基于傅里叶变换、小波变换和循环谱的分类特征就属于该类方法。
- 传统的信号处理一般是采用平稳随机过程作为研究模型,但实际信号经过诸如采样、扫描、编码、调制等周期性操作后不再具有平稳特性,即其统计参数诸如平均值和自相关函数等不再是时不变的,而是随时间呈现周期特性,该特性也被称为循环平稳性。
高斯信道下基于高阶累积量与二次方谱的数字调制信号的识别
本文提出了一种基于信号八阶累积量和二次方谱的方法。利用从信号的八阶累积量以及四阶累积量中提取的特征参数对所要识别的 12 种信号进行分类,对于不能直接识别的QPSK 和 OQPSK、8PSK 和π/4-QPSK 的两类信号,本文首先对该类信号进行差分处理,之后推导出信号差分后的八阶矩和八阶累积量,从中提取出两个特征参数,实现对这两类信号的识别。由于 2/4/8FSK 信号的高阶累积量值都相同,不能够利用高阶累积量进行识别,本文利用 MFSK 信号的二次方谱的谱线特征,提取出一个特征参数,实现该类信号的识别。本文用了四个特征参数实现了对 4ASK、2PSK、QPSK、OQPSK、8PSK、π/4-QPSK、2/4/8FSK、8QAM、16QAM、32QAM 等 12 种信号的识别。
非高斯信道下基于循环谱的数字信号的调制识别
本文提出了一种基于循环谱的识别方法:首先将被 Alpha 噪声污染的数字信号进行预处理,以解决 Alpha 噪声下信号循环谱失效的问题,然后对处理之后的信号求循环谱,通过分析各信号循环谱的谱线特征,提取出 4 个特征参数对信号进行识别。仿真结果表明,在 Alpha 噪声环境下,该方法可以实现对 2PSK、QPSK、2FSK、4FSK、MSK 五种信号的识别,并且取得了较高的识别率,具有良好的性能。
- Alpha 稳定分布是一种广义化的高斯分布,高斯分布只是它的一个特例。Alpha 稳定分布没有统一闭式的概率密度函数,所以在描述它时经常采用特征函数来描述。
- 实际应用中,通信信号更接近于一个周期平稳过程,其统计特性常呈现出时间的周期性。
- 由于 Alpha 噪声不存在二阶及二阶以上的统计量,所以被 Alpha 噪声污染的信号也就不会存在有效的循环谱,分析原因主要是因为 Alpha 噪声中存在着很大的冲激脉冲,致使受污染后的信号存在着较大的幅度。
展望
(1)高斯噪声环境中,实现信噪比在 0dB 以下信号的高识别率。
(2)对多径、瑞利信道下的调制识别技术研究。
(3)第四代移动通信的信号主要是 OFDM 信号,本文并未对该信号进行识别,下一步的研究方向可以针对复杂信道环境下OFDM 信号的识别展开研究。
(4)对于采用高阶累积量的分类方法,常常需要知道调制信号精确的载频信息,因此在对载频进行估计时对估计算法的要求较高,因此需要对载频估计算法做进一步研究。
[5] 吴添. 基于机器学习的数字信号解调与识别的研究[D]. 2019. (软件无线电)
最后
以上就是精明咖啡最近收集整理的关于通信信号调制方式识别——综述/硕博的全部内容,更多相关通信信号调制方式识别——综述/硕博内容请搜索靠谱客的其他文章。
发表评论 取消回复