要点
计算概率的方法;
离散型随机变量,二项分布、Poisson分布和超几何分布;
连续型随机变量,均匀分布、正态分布和指数分布;
抽样分布,卡方分布、t分布、F分布。
一、概率
1.多步骤试验(乘法法则)
1.模拟投掷两枚硬币的全部结果.
#expand.grid()函数计算多步骤函数的全部结果,格式:expand.grid(…,)
expand.grid(step1=c("H","T"),step2=c("H","T"))
#运行结果
step1 step2
1 H H
2 T H
3 H T
4 T T
2.某个项目被分割为两个阶段:阶段1是设计工作,阶段2是建设工作. 根据对以往的项目分析,完成设计工作可能需要2个月、3个月或4个月,完成建设阶段可能需要6个月、7个月或8个月. 试分析:完成整个项目共有多少中情况,每种情况各需多少个月?
#连乘计算函数prod(…, na.rm=FALSE)
#按照乘法法则,完成整个项目共有3×3=9种情况,使用expand.grid()函数计算具体情况和每种情况所花时间.
D<-expand.grid(sheji=c(2,3,4),shigong=c(6,7,8))
D$wanchengshijian<-apply(D,1,sum) #求D每一行之和
D
#运行结果
sheji shigong wanchengshijian
1 2 6 8
2 3 6 9
3 4 6 10
4 2 7 9
5 3 7 10
6 4 7 11
7 2 8 10
8 3 8 11
9 4 8 12
2.组合
第二种计数法则是组合法则,即同一时间从n个项目中抽取其中k个的组合数:
# 用choose(n,k)函数计算,如
choose(5,3)
#运行结果
[1] 10
3.从1~5个数中,随机取3个的全部组合.
# 函数combn(), 可生成全部组合方案,格式:combn(x,m,FUN=NULL,simplify=TRUE,…)
combn(1:5,3)
#运行结果
[,1] [,2] [,3] [,4] [,5] [,6] [,7] [,8] [,9] [,10]
[1,] 1 1 1 1 1 1 2 2 2 3
[2,] 2 2 2 3 3 4 3 3 4 4
[3,] 3 4 5 4 5 5 4 5 5 5
#如果要对全部组合情况做运算,如,求均值.
combn(1:5,3,FUN=mean)
#运行结果
[1] 2.000000 2.333333 2.666667 2.666667 3.000000 3.333333 3.000000 3.333333
[9] 3.666667 4.000000
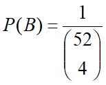
4.从一副完全打乱的52张扑克中任取4张,计算下列事件的概率.
(1)抽取4张依次是红心A、方块A、黑桃A和梅花A的概率;
(2)抽取4张为红心A 、方块A、黑桃A和梅花A的概率.
(1)抽取4张是有顺序的,因此用排列求解. 所求事件的概率

1/prod(49:52)
#运行结果
[1] 1.539077e-07
(2)抽取4张没有次序的,因此用组合来求解,

1/choose(52,4)
#运行结果
[1] 3.693785e-06
5.在例2中,完成项目的时间在8至12个月之间,计算恰好用8个月、9个月、…完成项目的概率.
#使用table()函数和prop.table()函数计算频数和相对频率.
D<-expand.grid(sheji=c(2,3,4),shigong=c(6,7,8))
D$wanchengshijian<-apply(D,1,sum)
D
Ta<-table(D$wanchengshijian)
prop.table(Ta)
#运行结果
8 9 10 11 12
0.1111111 0.2222222 0.3333333 0.2222222 0.1111111
二、离散型随机变量
6.假设100件产品中,有5件次品,现从中随机地抽取20件,求“次品数”的分布律.
解:设X为次品的随机变量,k为它的取值,

P<-numeric(6)
for(k in 0:5){
P[k+1]<-choose(5,k)*choose(95,20-k)/choose(100,20)
}
P
#运行结果
[1] 0.3193094420 0.4201440026 0.2073437935 0.0478485677 0.0051482636 0.0002059305
7.计算例6中“次品数”的数学期望.
D<-expand.grid(sheji=c(2,3,4),shigong=c(6,7,8))
D$wanchengshijian<-apply(D,1,sum)
D
mu<-weighted.mean(x=0:5,w=P);mu
8.计算例6中“次品数”的方差.
D<-expand.grid(sheji=c(2,3,4),shigong=c(6,7,8))
D$wanchengshijian<-apply(D,1,sum)
D
mu<-weighted.mean(x=0:5,w=P)
weighted.mean((0:5-mu)^2,w=P)
1.二项分布
二项分布与二项试验有关,
(1)试验由一个包括n个相同试验的序列组成;
(2)每次试验有两种可能结果,一种称为成功,一种为失败;
(3)每次试验是相互独立的;
(4)每次试验成功的概率相同,均为p.
设X表示二项试验中成功的次数,{X=k}表示事件:n次试验中恰好有k次成功,则

分布函数为

二项分布的期望与方差为:
E(x) = np Var(x)=np(1-p)
在R中binom表示二项分布,
dbinom表示概率密度
pbinom表示分位数
函数的使用格式为:
dbinom(x,size,prob,log=FALSE)
pbinom(q,size,prob,lower.tail=TRUE,log.p=FALSE)
qbinom(p,size,prob,lower.tail=TRUE,log.p=FALSE)
9.现有80台同类型的设备,各台设备的工作是相互独立的,发生故障的概率是0.01,且一台设备的故障能由一人处理. 配备维修工人的方法有两种,一种是4人分开维护,每人负责20台,另一种是由3人共同维护80台. 试比较两种方法在设备放生故障时不能及时维修的概率的大小.
解:设X为同一时刻发生故障的台数. 第一种情况是计算概率P(X≥2),第二种情况是计算概率P(X≥4).
p1<-1-pbinom(1,size=20,prob=0.01);p1
[1] 0.01685934
p2<-1-pbinom(3,size=80,prob=0.01);p2
[1] 0.008659189
10.为保证设备的正常运行,必须配备一定数量的设备维修人员. 现有同类设备180台,且各台工作相互独立,每台设备任一时刻发生故障的概率都是0.01. 假设一台设备的故障由一人进行维修,问至少配备多少名维修人员,才能保证设备发生故障后能得到及时修理的概率不小于0.95?
解:设随机变量X为发生故障的设备数,k为配备修理工的个数,由题意X~B(n,p), 其中n=180, p=0.01, 且满足P(x≥k)≥0.95
n<-180;p<-0.01;k<-qbinom(.95,n,p);k #分位数
#运行结果
4
2.Poisson分布
如果事件满足:
(1)事件在任意两个等长度的区间内放生一次的概率相等;
(2)事件在任意区间内是否发生与其他地区发生情况相互独立.
则事件发生次数就是用Poisson分布来描述的随机变量.
分布律(事件在一个区间内发生k次的概率):

分布函数:

Poisson分布的期望和方差均为λ.
Poisson分布常用来描述不经常发生的事件,也称为“不经常事件定律”. 例如,某化工厂发生严重事故的概率很小,可用Poisson分布来描述.
Poisson分布还经常用来描述某时间段的到达数,如果某段时间的到达数目太大,可缩短时间,使这个时间段内的时间发生的数目减少. 例如,可以考虑在5分钟内到达某花店的人数.
R中,pois表示Poisson分布,概率密度函数、分布函数、分位数分别为:
dpois(x,lambda,log=FALSE)
ppois(q,lambda,lower.tail=TRUE,log.p=F)
qpois(p,lambda,lower.tail=TRUE,log.p=F)
11.假定顾客到达某银行的平均值是每4分钟3.2名,计算:
(1)在4分钟内有7名以上顾客的概率;
(2)在8分钟内到达10名顾客的概率.
解:(1)设X为4分钟内到达银行的顾客数,题意是计算P{X>7},即计算1-P{X≤7}.
1-ppois(7,lambda=3.2)
[1] 0.01682984
从结果看,在4分钟内不大可能有7名以上顾客到达银行.
(2)调整参数lambda=6.4. (不能将问题改为4分钟内到达5名顾客的概率.)
dpois(10,lambda=3.2*2)
[1] 0.05279004
12.计算机硬件公司制作某种型号芯片,其次品率为0.1%,各芯片成为次品相互独立. 求1000只芯片中至少有2只次品的概率.
解:设X为次品个数,计算概率P(X≥2). 现选择两种计算方法,先用二项分布精确计算,再用Poisson分布近似计算.
> 1-pbinom(1,size=1000,prob=0.001)
[1] 0.2642411
> 1-ppois(1,lambda=1000*0.001)
[1] 0.2642411
3.超几何分布
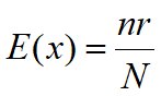
令r表示容量为N的总体中表示成功的元素个数. 令N-r为失败的个数. 超几何分布考虑在n次无放回的实验中,成功k次失败n-k次的概率.
分布律:
P(X=k)表示n次试验中获得k次成功的概率, n表示试验次数, N表示总体元素个数, r表示总体内成功的元素个数.
分布函数:

期望:

R中,hyper表示超几何分布,
概率密度 dhyper(x,m,n,k,log=FALSE)
分布函数phyper(q,m,n,k,lower.tail=TRUE,log=FALSE)
分位数qhyper(p,m,n,k, lower.tail=TRUE,log=FALSE)
x或q表示总体中试验成功的次数(k), m表示成功次数(r),n表示失败总次数(N-r), k表示试验次数(n)
13.假设在10位喜欢喝可乐的人中,有6位喜欢可口可乐,4位喜欢百事可乐. 现从10人中任取3人,计算:
(1)3人中恰有2人喜欢可口可乐的概率;
(2) 3人中多数人(2人或3人)喜欢百事可乐的概率.
解:超几何分布. 设喜欢可口可乐为成功,喜欢百事可乐为失败, 成功的总次数为6, 失败的总次数为4, 试验总次数为3.
问题1是计算恰好2次成功的概率; 问题2是计算成功的次数小于1的概率.
dhyper(x=2,m=6,n=4,k=3)
[1] 0.5
> phyper(q=1,m=6,n=4,k=3)
[1] 0.3333333
事实上,例6中的“次品数”就服从超几何分布,因此计算分布律:
dhyper(x=0:5,m=5,n=95,k=20)
[1] 0.3193094420 0.4201440026 0.2073437935 0.0478485677 0.0051482636 0.0002059305
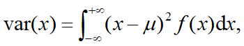
三、连续型随机变量
密度函数:非负函数f(x)
分布函数:

数学期望:

方差:

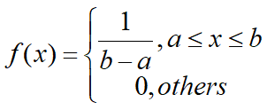
1.均匀分布 X~U(a,b)
密度函数:

分布函数:

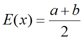
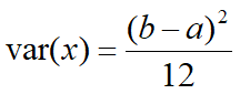
数学期望:

方差:

R中,unif表示均匀分布,
密度函数dunif(x,min=0,max=1,log=F)
分布函数punif(q,min=0,max=1,lower.tail=TRUE,log.p=FALSE)
分位数qunif(p,min=0,max=1,lower.tail=TRUE, log.p=FALSE)
x或q为密度或分布函数的自变量,p为分为点的概率,min、max为区间的端点
14.某设备生产出的钢板厚度在150mm至200mm之间,且服从均匀分布,钢板厚度在160mm以下为次品,求次品的概率.
p<-punif(160,min=150,max=200);p
[1] 0.2
2.正态分布


R中函数:
密度函数 dnorm(x,mean=0,sd=1,log=F)
分布函数pnorm(x,mean=0,sd=1,lower.tail=TRUE,log.p=F)
分位数qnorm(p,mean=0,sd=1,lower.tail=TRUE, log.p=FALSE)
设 X服从正态分布,分别计算


和

p<-pnorm(x)-pnorm(-x);p
[1] 0.6826895 0.9544997 0.9973002
15.某项研究表明:居住在城市的居民每天平均产生1.6kg的生活垃圾。假定居民每天产生垃圾的数量X服从正态分布,标准差为0.47kg, 试计算67.72%的居民产生的生活垃圾大于多少kg.
解:

求在0.6772处的上分位数,有两种方法:
> qnorm(1-0.6772,mean=1.6,sd=0.47)
[1] 1.383855
> qnorm(0.6772,mean=1.6,sd=0.47,lower.tail = F)
[1] 1.383855
#lower.tail=F表示上侧分位数, lower.tail=T表示下侧分位数.
二项分布的正态近似
二项分布是离散型的,当n较大时,有时会计算困难,常常使用正态分布近似二项分布. 设n为试验次数,p为试验成功的概率,当n和p满足:
二项分布的随机变量X近似服从正态分布,即

16. 设X~B(n,p),且n=10,p=0.5
(1)试用二项分布精确计算P(X<=4);
(2)试用正态分布近似计算P(X<=4).
> n<-10; p<-0.5; q<-1-p
> p1<-pbinom(4,size=n,prob=p);p1
[1] 0.3769531
> p2<-pnorm(4,mean=n*p,sd=sqrt(n*p*q));p2
[1] 0.2635446
P1=0.3769531, p2=0.2635446, 两者相差挺大。为什么?
从离散分布到连续分布,需要根据情况增加或减少0.5的修正,即连续性修正. 经过修正后,基本能保证二项分布的绝大部分信息正确地转换成正态分布的信息.
p3<-pnorm(4.5,mean=n*p,sd=sqrt(n*p*q));p3
[1] 0.3759148
可见修正后p3=0.3759148, 与二项分布的p1相差不大.
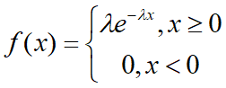
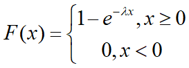
3.指数分布
描述完成任务所花时间非常有用,比如描述车辆到达修理厂的时间间隔,装运一辆卡车所需的时间等.
密度函数:

分布函数:

数学期望和方差:

指数分布与Poisson分布的关系:
Poisson分布是确定在一特定的时间段内事件发生的次数. 而指数分布则是描述两个事件的间隔长度. 例如,假设在1小时内到达洗车店的汽车服从Poisson分布,其均值为每小时10辆汽车,则车辆的间隔时间服从指数分布,且平均间隔为1/10小时.
R中,exp表示指数分布,
密度函数 dexp(x,rate=1,log=F)
分布函数 pexp(q,rate=1,lower.tail=T,log.p=F)
分位数 qexp(p,rate=1,lower.tail=T,log.p=F)
参数rate为指数分布的参数 λ,默认值为1
17.英格兰在1875-1951年期间,矿山发生导致不少于10人死亡的事故的频繁程度,得知相继两次事故之间的时间T(天数)服从指数分布,其平均值为241天,求概率P(50≤T≤100).
> p<-pexp(c(50,100),rate=1/241)
> p[2]-p[1]
[1] 0.1522571
四、抽样分布
统计量是样本的函数, 也是随机变量, 统计量的概率分布称为抽样分布.
1. 简单随机抽样
如果每一个可能的样本被抽到的可能性相等.
样本不放回和有放回抽样.
在R中,用sample()函数模拟抽样,格式:
sample(x,size,replace=FALSE,prob=NULL)
18.(1)从1~10个数中随机地抽取3个。
sample (1:10,3)
[1] 8 2 7
#或者
sample(10,3)
[1] 10 7 6
(2)做10次抛硬币的试验:
sample(c("H","T"),10,replace=TRUE)
[1] "T" "H" "H" "H" "H" "H" "H" "T" "H" "T"
(3)模拟n重伯努力试验:
sample(c("S","F"),10, replace=TRUE,prob=c(0.7,0.3))
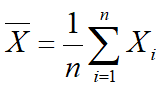
2. 常用统计量
样本均值:

样本方差:

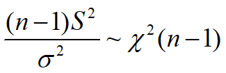
3.卡方分布

若Zi ~N(0,1) (i=1,2,…,n),且相互独立,则称
为自由度为n的卡方分布,E(x)=n,var(X)=2n.

R中,chisq表示 分布,
密度函数:dchisq(x,df,ncp=0,log=FALSE)
分布函数: pchisq(q,df,ncp=0,lower.tail=TRUE,log.p=FALSE)
分位数:qchisq(p,df,ncp=0,lower.tail=TRUE,log.p=FALSE)
df为自由度,ncp为非中心化参数,默认值为0
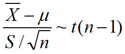
4.T分布
若随机变量Z~N(0,1),X服从自由度为n的卡方分布,且Z与X相互独立.则称

为自由度为n的t分布,
密度函数:dt(x,df,ncp=0,log=FALSE)
分布函数:pt(x,df,ncp=0,lower.tail=TRUE,log=FALSE)
分位数: qt(p,df,ncp=0,lower.tail=TRUE,log=FALSE)
df为自由度,ncp为非中心化参数,默认值为0
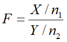
5.F分布
若随机变量X服从自由度为n1的卡方分布,Y服从自由度为n2的卡方分布,且相互独立.则称

为自由度为(n1,n2)的F分布.
密度函数:df(x,df1, df2,ncp=0,log=FALSE)
分布函数: pf(q,df1,df2,ncp=0,lower.tail=TRUE,log=FALSE)
分位数: qf(p,df1,df2,ncp=0,lower.tail=TRUE,log=FALSE)
df1为第1自由度, df2为第2自由度.
6.统计量的分布
1.单个正态总体样本均值与方差的分布



且相互独立。
由t分布的性质,得到:

19.在总体N(80,202)中随机抽取一个容量为100的样本,求样本均值与总体均值差的绝对值大于3的概率.

p<-1-pnorm(3,0,2)+pnorm(-3,0,2);p
[1] 0.1336144


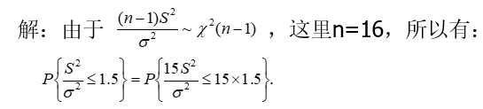
p<-pchisq(q=15*1.5,df=15);p
[1] 0.9046518
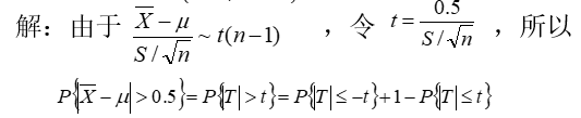
21.某台仪器测量的数据存放在measure.data中,设数据的总体服从正态分布,μ为总体均值,计算


> X<-scan("measure.data")
Read 29 items
> n<-length(X);S<-sd(X);t<-0.5/(S/sqrt(n))
> pt(-t,df=n-1)+1-pt(t,df=n-1)
[1] 0.05615046

最后
以上就是幸福背包最近收集整理的关于我的学习笔记之概率、随机变量及其分布(R语言)的全部内容,更多相关我内容请搜索靠谱客的其他文章。
发表评论 取消回复