伽玛函数(Gamma函数),也叫欧拉第二积分,是阶乘函数在实数与复数上扩展的一类函数。伽玛函数在分析学、概率论、偏微分方程和组合数学中有重要的应用。
我们通常看到的伽玛函数是这样的:

这到底是个什么东西?有什么用?欧拉又是怎么发现它的?

欧拉大神
1伽玛函数的起因发现伽玛函数的起因是数列插值。数列插值问题,通俗地说就是把数列的通项公式从整数定义域扩展到实数。例如数列1,4,9,16,.....可以用通项公式n²表达,即便n为实数的时候,这个通项公式也是良好定义的。直观的说,就是可以找到一条平滑的曲线y = x²,该曲线能够通过所有的整数点(x, x²),从而可以把定义在整数域的公式扩展到实数域。

1728年,哥德巴赫开始处理阶乘序列的插值问题:1,2,6,24,120,720,...,既然可以计算2!, 3!,…,是否可以计算2.5!呢?把最初的一些(n, n!)的点画在坐标轴上,确实可以看到,能够画出一条通过这些点的平滑曲线。问题是,这条曲线是什么?


哥德巴赫无法解决阶乘往实数域上扩展的这个问题,于是写信请教尼古拉斯·贝努利和丹尼尔·贝努利两兄弟,由于欧拉当时正好和丹尼尔·贝努利在一块玩,他也因此得知了这个问题。之后欧拉于1729年完美地解决了这个问题,由此导致了伽玛函数的诞生。当时欧拉只有 22 岁,这让我感觉自己就是混吃等死的。
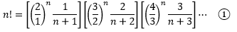
2发现伽玛函数在某一个特殊的时刻,欧拉发现阶乘n!可以用一个无穷乘积表示:

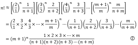
如果有m项乘积:

当m远远大于n时,上式可继续计算:
当m→∞时,无穷乘积的极限:

很难想像在没有计算机的年代能够发现这个变态的无穷乘积,估计欧拉当年是根据极限倒推无穷乘积,然后对外宣称在机缘巧合下发现了无穷乘积。
值得注意的是,n!明显不等于③,③又是由②整理而来的,因此n!也不等于②,而是在m→∞时n!等于②或③的极限。以n = 2为例,n! = 2,m是2、50、100时,②的结果分别是1.5、1.9615384615384617、1.980392156862745,展开的越多,越接近于n!。
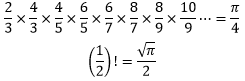
有了这个无穷乘积,欧拉便开用1/2代入①进行尝试:

根号里面的东西是英国数学家沃利斯(John Wallis)在1665年写下的沃利斯公式:

于是欧拉把沃利斯公式折半:

π真是一个神奇的数字!
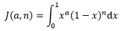
1665年牛顿还很小,还没有发明积分,沃利斯用各种巧妙的技巧得到了这个结论,推导过程实际上是在处理
。受沃利斯的启发,欧拉开始考虑如下的一般形式的积分:

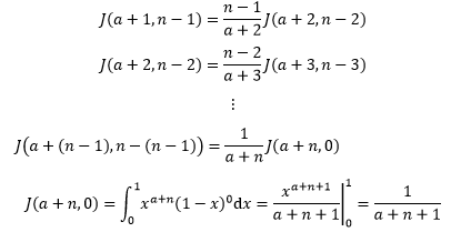
此处n为正整数,a为正实数。利用分部积分:

继续使用分部积分:

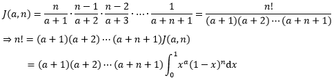
上面所有递推合并到一起就得到了最终的结果:

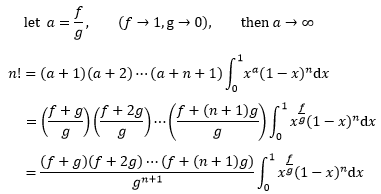
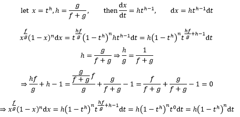
现在阶乘变成了积分的形式。然而这个式子的前提是n是正整数,无法推广到分数,欧拉继续研究如何化简这个表达式。a是一个任意实数,能否让a消失?一个惯用的方法是取极端值,a > 0的一个极端是无穷,看看让a趋近于无穷时会得到什么结果。这里欧拉使用的技巧是让a等于两个实数的商:

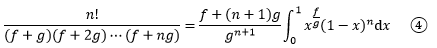
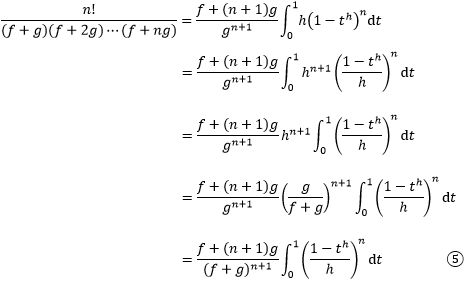
等式两侧同时除以(f+g)(f+2g)…(f+ng):

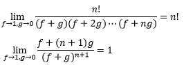
当f→1,g→0时,左侧趋近于n!,但是右侧出现了讨厌的0分母,此时为了简化计算:

将上式结论代入④:

用求极限的方式去掉f和g:

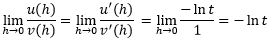
当f→1,g→0时h→0,(1-th)/h的极限变成了0/0的形式,在洛必达法则的帮助下,0/0形和∞/∞形的极限也是可以求解的。令u(h) = 1-th,v(h) = h,根据洛必达法则:

于是在对⑤的等式两侧求极限时,神奇的一幕出现了:

任意实数a已经消失了,n!变成了一个简洁的积分形式。继续变换:

这就是欧拉最早定义的伽玛函数,实际上就是阶乘扩展到实数范围:

但是欧拉后来修改了伽玛函数的定义,变成了:

这也是现在我们所说的伽玛函数,⑥和⑦是两种表达,⑦更为常见,从积分域可以看出t和u的取值范围。
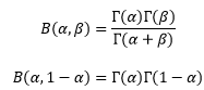
3伽玛函数的性质欧拉在伽玛函数的推导中实际上引入了两类积分形式:

后来这两个积分的参数做了-1的偏移,改为:

B(α, β)现在成为贝塔函数或贝塔积分,Γ(x)实际上是在计算x – 1的阶乘,两个函数之间存在一些很好的关系:

我们知道0! = 1,Γ(1)对此进行了解释:

来看一下Γ(x)的曲线:

从Γ(x)的曲线可以看出Γ函数是一个凸函数,logΓ(x)也是一个凸函数:

下面的的matlib代码可以绘制Γ(x)和logΓ(x)的曲线:
x = 0:0.1:10;plot(x, gamma(x));axis([0,4,0,6]);xlabel('x');ylabel('r(x)');figure;plot(x, lgamma(x));axis([0,8,-1,6]);xlabel('x');ylabel('logr(x)');
4伽玛分布
伽玛函数在概率统计中频繁现身,泊松分布、贝塔分布、狄克雷分布中都有伽玛函数的身影。当然,发生最直接联系的概率分布是直接由伽玛函数变换得到的伽玛分布。
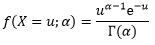
为了便于看清伽玛分布,先把伽玛函数中的变量名称修改一下:

等式两侧同时除以Γ(α):

这正好符合连续型概率分布的定义,被积函数就是伽玛分布的密度函数:

如果令u = βx,则:

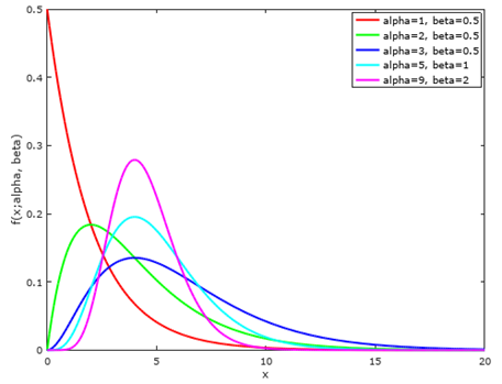
于是我们得到了伽玛分布的一般形态:

其中α称为形状参数(shape parameter),决定了分布曲线的形状;β称为速率参数(rate parameter)或逆尺参数(inverse scale parameter),决定了曲线的陡峭程度:
α" style="display: inline-block; overflow-wrap: normal; max-width: none; max-height: none; min-width: 0px; min-height: 0px; float: none;">β" style="display: inline-block; overflow-wrap: normal; max-width: none; max-height: none; min-width: 0px; min-height: 0px; float: none;">
可以看到, β之所以被称为逆尺参数,是因为1/β越大,曲线越陡峭。在matlab中,gamma分布的参数使用的是1/β:
x = 0:0.1:20;a = [1 2 3 5 9]; b = [0.5 0.5 0.5 1 2]; L(1, 1) = {''};for i = 1:size(a)(2) g = gampdf(x, a(i), 1/b(i)); L(1, i) = ['alpha=', num2str(a(i)), ',beta=', num2str(b(i))]; plot(x, g, 'LineWidth',2); hold on;endforlegend(L);xlabel('x');ylabel('f(x;alpha, beta)');axis([0,20,0,0.5]);
概率统计中的众多分布都和Gamma分布有密切关系。以泊松分布为例,随机变量X服从参数为λ的泊松分布分布X~Po(X; λ),其质量函数是:

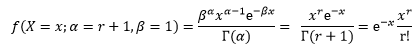
在Gamma分布的密度中取α=r+1,β=1得到:

因此当β=1时,Gamma分布和泊松分布在形式上是完全一致的,只是泊松分布是离散的,而Gamma分布是连续的,可以直观地认为Gamma分布是泊松分布在正实数集上的连续化版本。
伽玛分布的期望值和方差分别为:
α" style="display: inline-block; overflow-wrap: normal; max-width: none; max-height: none; min-width: 0px; min-height: 0px; float: none;">β" style="display: inline-block; overflow-wrap: normal; max-width: none; max-height: none; min-width: 0px; min-height: 0px; float: none;">
本文参考:https://cosx.org/2013/01/lda-math-gamma-function

最后
以上就是繁荣翅膀最近收集整理的关于gamma函数stiriling公式_神奇的伽玛函数 | 伽玛函数和伽玛分布……的全部内容,更多相关gamma函数stiriling公式_神奇的伽玛函数内容请搜索靠谱客的其他文章。
发表评论 取消回复