小菜鸡的第一篇推文来喽~哈哈哈哈(先向看文章的带佬献上膝盖)

数字逻辑电路总体来说学习难度是低于模(魔)拟(鬼)电路的,但是数电相比于模电而言更注重于应用,个人感觉数电需要的套路和方法更为固定,而且这些方法掌握起来也不算很难。(害,说白了,自古真情留不住,总是套路得人心...)本来是想着第一篇推文按照顺序写,但是鉴于最近的数电实验实在是有点emmmmm,故而先搞一手触发器。废话完了开始正题。

先从这次的数电实验作业开始说起(因为刚写完还热乎着)。作业5的题目是用D触发器搞一个二位二进制的减法计数器(咚咚咚,敲黑板喽,聪明的宝宝这时候都拿起了自己的小本本)。啥叫计数器嘞?啥又是减法计数器嘞?二进制我知道,二位是哪二位呢?这里不得不慨叹一下网络授课的实验进度,我大波哥都木有追上。

首先从最简单的说起,二位二进制,顾名思义,你的输出只有两位,也就是说这个二进制数最大是11(也就是3),一共00,01,10,11四个数,那总要有两个输出端来保证有俩数吧,所以我们这里至少要搞两个D触发器。那减法呢?这里的减法不是我们之前做的加法器的那个加减的概念,而是说我们要记录他的减,也就是说,你的CP在输入一个方波之后要能按照3,2,1,0这样的顺序一直循环。注意循环这个词语,意思是只要你接通了开始运行,电路一定会一直在这个循环里走,3——2——1——0——3.......我们转化成二进制也就是11-10-01-00这样,有趣的事情发生了,你可以发现第二个数变化2次第一个数变化一次,于是这时候聪明的宝宝们灵光一闪——这波啊,这波叫肉蛋葱鸡....呸,是二分频嘛,这不正好D触发器嘛,二分频的电路如下图

搞两个二倍频不就完事了嘛(我一般不喜欢直接把CP搞成一个输出),然后两个Q分别搞成二进制数中的一个。
接下来的一个任务是把这个二进制数表示出来,大部分人想到的是常用的示波器或者小灯泡,但是很遗憾的是,示波器不太直观,灯泡变化太快的话人眼无法捕捉,要是能转化成数字直接看到不就成了么。联想前几次的作业有一个叫显示译码电路的东东,于是把输出接进去不就显示出来了嘛。这里还有一个点是你想用的数码管一般至少有4个输入,我们这里只有两个,而且我们之前搞的是一个七段显示数码管,不能直接搞上去。但是这里我们可以直接在前面接两个0,变成0011,0010,0001,0000再直接把那个CD4511的电路copy过来就OK了。如下图

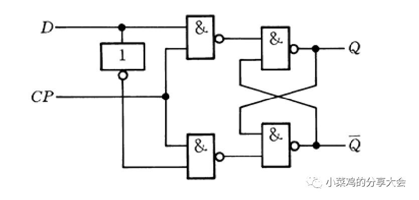
第二个是用门电路实现一个7475。首先,嘛叫7475嘞?这名字一看奏四我们最亲(tong)切(hen)的74系列嘛,TTL呗,因此打开multisim等等仿真软件在TTL那一栏里直接搜索就????。我们可以看到其实7475的四对输入输出是两组一模一样的,也就是两片,因此我们只要搞定一片就好了(虽然不晓为啥题目说这玩应是一个四位锁存器)。也就是说两位输入,在控制信号是1的时候把输入传递到输出去,0的时候不变,有的同学冥冥之中后背开始发亮,这不就是个同步触发器的功能吗,但是是一端口的(一个输入对应一个输出),另外输出有Q和Q非(这里说明一下名字千万不能有中文和中文标点,8信你试试),同步D触发器呗(你搞一个维持阻塞的不行,因为维持阻塞的只能变一次),然后每两组接一个CP,把这个东西再复制一遍就是那一片。什么?有小伙伴不晓得D触发器怎么搞?那上就是图

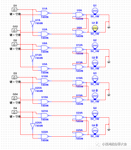
接下来就是整体的电路设计(好孩子可不会直接看答案的呦)

如有大佬愿意批评指正小菜鸡十分欢迎呀(希望有帮助到你,另外希望点个转发让更多人分享)
最后
以上就是欢喜御姐最近收集整理的关于jk触发器改为四进制_关于触发器的全部内容,更多相关jk触发器改为四进制_关于触发器内容请搜索靠谱客的其他文章。
发表评论 取消回复