数形结合
跳动空间思维点、线、面
分类讨论
灌溉逻辑严密的田
化归思想
悟得推己及人、大道至简
函数方程
最值求出个“醉“极限
你待数学如初见
题目待你如初恋
智慧本是星星点点
积累终会有所获
筑基培优靠实践
数学家克莱因说过:“音乐能激发或抚慰情怀,绘画使人赏心悦目,诗歌能动人心弦,哲学使人获得智慧,科学可改善物质生活,但数学能给予以上的一切”。一个符号、一个公式、一个概念、一条曲线、一个图形、一种思想、一个方法、无不蕴含着数学的美,数学的美是冰冷的美丽,但带来的却是火热的思考,不仅仅需要去体会,还要去学习。让我们带着数学欣赏的眼光去探索、去发现数学之美吧!
n(n-1)模型在平行线中的应用

情境1

情境2

结论

类 型 一
2条直线相交只有1交点,3条直线相交最多有3交点,4条直线相交最多有6个交点,5条直线相交最多有10个交点……,n条直线相交最多有多少个交点?

分析:每两条线相交只有1交点,
满足两个条件(两条直线)总共有一种情况(1个交点)模型。
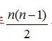
所以n条直线相交交点个数最多为

类 型 二

分析:每两条线相交构成2对对顶角,
满足两个条件(两条直线)总共有两种情况(两对对顶角)模型为n(n-1)
答案

变式
n条直线相交于一点,则可以形成2n(n-1)对邻补角
类 型 三

分析:以内错角为例,每两条被截直线构成2对内错角,
满足两个条件(两条被截直线)总共有两种情况(2对内错角)模型为n(n-1),
同旁内角个数和内错角个数相同
同位角个数是内错角个数的2倍
答案:

【01】平行线性质有关概念
【02】平行线中的拐角模型
【03】与拐角模型有关的题(压轴题)
【04】相交线典型题型
【05】平行线及其判定知识点汇总
【06】相交线平行线有关概念
【07】相交线平行线历年中考题汇编
【08】第八章二元一次方程组汇编
【09】第九章不等式与不等式组汇编

QQ群内有初中三年的试卷资料提供给初中生使用,需要关注公众号并添加小编微信咨询



(感谢您的阅读,如果方便,欢迎分享到朋友圈,帮我们宣传推广公众号)
最后
以上就是眯眯眼大炮最近收集整理的关于n条直线相交最多有几个邻补角_【初一】 n(n1)模型在相交线中的应用的全部内容,更多相关n条直线相交最多有几个邻补角_【初一】内容请搜索靠谱客的其他文章。

发表评论 取消回复